Online Database of Chemicals from Around the World

Chlorophyllin SDS (CAS 11006-34-1)

This page provides the Safety Data Sheet (SDS) for Chlorophyllin (CAS 11006-34-1), including information on hazards, first-aid measures, storage, handling requirements, and more. Users may download the SDS file free of charge for laboratory or industrial reference.

Product Info

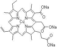
structure of CAS# 11006-34-1, Chlorophyllin;Chlorophyllin coppered trisodium salt; Trisodium (2S-trans)-[18-carboxy-20-(carboxymethyl)-13-ethyl-2,3-dihydro-3,7,12,17-tetramethyl-8-vinyl-21H,23H-porphine-2-propionato(5-)-N21,N22,N23,N24]cuprate(3-)
Product Name Chlorophyllin
CAS Registry Number 11006-34-1
Molecular Formula C34H31CuN4Na3O6
Molecular Weight 724.16
More information of Chlorophyllin
 
Source SDS Document
Alfa-Aesar
www.alfa.com/en/content/msds/USA/A16155.pdf
View / download
Sigma-Aldrich
www.sigmaaldrich.com/catalog/Lookup.do?N5=All&N3=mode+matchpartialmax&N1=S_ID&ST=RS&N25=0&F=PR&D7=0&N4=11006-34-1
View / download

Disclaimer

The SDS samples above are collected from the Internet by chemBlink and displayed here for the tutorial purpose only. chemBlink LLC provides the information contained herein in good faith but makes no representation as to its comprehensiveness or accuracy. Read full context...



Frequently Asked Questions (FAQ)
What is an SDS?   How do I download an SDS?   Are SDSs free?   What is the difference between SDS and MSDS?



More SDS files for chemicals
Di-tert-butyl...   Strophanthin   EMD-1214063   Monazomycin   Phleomycin   tert-Butyl...   Virginiamycin   1-Amino-7-azasp...   5,6,7,8-Tetrahy...   4-Bromo-2-fluor...