Online Database of Chemicals from Around the World

S-[2,3-Bis[(1-oxohexadecyl)oxy]propyl]-N-(1-oxohexadecyl)-L-cysteinyl-L-seryl-L-lysyl-L-lysyl-L-lysyl-L-lysine SDS (CAS 112208-00-1)

This page provides the Safety Data Sheet (SDS) for S-[2,3-Bis[(1-oxohexadecyl)oxy]propyl]-N-(1-oxohexadecyl)-L-cysteinyl-L-seryl-L-lysyl-L-lysyl-L-lysyl-L-lysine (CAS 112208-00-1), including information on hazards, first-aid measures, storage, handling requirements, and more. Users may download the SDS file free of charge for laboratory or industrial reference.

Product Info

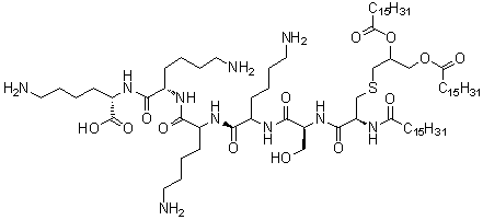
structure of CAS# 112208-00-1, S-[2,3-Bis[(1-oxohexadecyl)oxy]propyl]-N-(1-oxohexadecyl)-L-cysteinyl-L-seryl-L-lysyl-L-lysyl-L-lysyl-L-lysine;P 3C; Pam3CSK4; Pam3CysSK4
Product Name S-[2,3-Bis[(1-oxohexadecyl)oxy]propyl]-N-(1-oxohexadecyl)-L-cysteinyl-L-seryl-L-lysyl-L-lysyl-L-lysyl-L-lysine
CAS Registry Number 112208-00-1
Molecular Formula C81H156N10O13S
Molecular Weight 1510.23
More information of S-[2,3-Bis[(1-oxohexadecyl)oxy]propyl]-N-(1-oxohexadecyl)-L-cysteinyl-L-seryl-L-lysyl-L-lysyl-L-lysyl-L-lysine
 
Source SDS Document
Cayman
www.caymanchem.com/msdss/24126m.pdf
View / download

Disclaimer

The SDS samples above are collected from the Internet by chemBlink and displayed here for the tutorial purpose only. chemBlink LLC provides the information contained herein in good faith but makes no representation as to its comprehensiveness or accuracy. Read full context...



Frequently Asked Questions (FAQ)
What is an SDS?   How do I download an SDS?   Are SDSs free?   What is the difference between SDS and MSDS?



More SDS files for chemicals
3-Iodo-2-methox...   3-Hydroxymethyl...   (5-Methyl-1,3-D...   5-Bromo-2-fluor...   5-Bromo-2-fluor...   Nonylamine   6-Chloro-4-meth...   2,5-Dichloro-4-...   2,3-Dibromomale...   (S)-2-Isopropyl...