Online Database of Chemicals from Around the World

Poncirin SDS (CAS 14941-08-3)

This page provides the Safety Data Sheet (SDS) for Poncirin (CAS 14941-08-3), including information on hazards, first-aid measures, storage, handling requirements, and more. Users may download the SDS file free of charge for laboratory or industrial reference.

Product Info

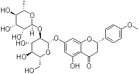
structure of CAS# 14941-08-3, Poncirin;5,7-Dihydroxy-4'-methoxyflavanone 7-neohesperidoside; Neohesperidoside isosakuranetin-7; 4'-O-Methylnaringin
Product Name Poncirin
CAS Registry Number 14941-08-3
Molecular Formula C28H34O14
Molecular Weight 594.56
More information of Poncirin
 
Source SDS Document
Sigma-Aldrich
www.sigmaaldrich.com/catalog/Lookup.do?N5=All&N3=mode+matchpartialmax&N1=S_ID&ST=RS&N25=0&F=PR&D7=0&N4=14941-08-3
View / download
Carl-Roth
www.carlroth.com/downloads/sdb/en/7/SDB_7413_GB_EN.pdf
View / download

Disclaimer

The SDS samples above are collected from the Internet by chemBlink and displayed here for the tutorial purpose only. chemBlink LLC provides the information contained herein in good faith but makes no representation as to its comprehensiveness or accuracy. Read full context...



Frequently Asked Questions (FAQ)
What is an SDS?   How do I download an SDS?   Are SDSs free?   What is the difference between SDS and MSDS?



More SDS files for chemicals
1,4-Benzodioxan...   3-(2,3-Dihydro-...   2,3-Dihydro-1,4...   Photochlor   N,N-Diethyl-2-(...   3,4-Dibromo-5H-...   (cis-4-Aminocyc...   Benzyl...   N-(4-Methoxyphe...   3,5-Diiodobromo...