Online Database of Chemicals from Around the World

Diethylenetriaminepenta(methylene-phosphonic acid) SDS (CAS 15827-60-8)

This page provides the Safety Data Sheet (SDS) for Diethylenetriaminepenta(methylene-phosphonic acid) (CAS 15827-60-8), including information on hazards, first-aid measures, storage, handling requirements, and more. Users may download the SDS file free of charge for laboratory or industrial reference.

Product Info

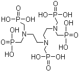
structure of CAS# 15827-60-8, Diethylenetriaminepenta(methylene-phosphonic acid);[[(Phosphonomethyl)imino]bis[2,1-ethanediylnitrilobis(methylene)]]tetrakis-phosphonic acid; DTPMP
Product Name Diethylenetriaminepenta(methylene-phosphonic acid)
CAS Registry Number 15827-60-8
Molecular Formula C9H28N3O15P5
Molecular Weight 573.20
More information of Diethylenetriaminepenta(methylene-phosphonic acid)
 
Source SDS Document
Ambeed
file.ambeed.com/static/upload/prosds/am/330/SDS-A329794.pdf
View / download

Disclaimer

The SDS samples above are collected from the Internet by chemBlink and displayed here for the tutorial purpose only. chemBlink LLC provides the information contained herein in good faith but makes no representation as to its comprehensiveness or accuracy. Read full context...



Frequently Asked Questions (FAQ)
What is an SDS?   How do I download an SDS?   Are SDSs free?   What is the difference between SDS and MSDS?



More SDS files for chemicals
3-(1-Pyrrolidin...   Sodium...   Acetanilide-2',...   cis-1,4-Cyclohe...   1-Ethoxycarbony...   N6-(2-Pyridinyl...   2,5-Diphenyl-Py...   4-Amino-3-pyrid...   4-Amino-3-chlor...   3-(2-Bromo-1-ox...