Online Database of Chemicals from Around the World

Cy7 (Cyanine 7) SDS (CAS 477908-53-5)

This page provides the Safety Data Sheet (SDS) for Cy7 (Cyanine 7) (CAS 477908-53-5), including information on hazards, first-aid measures, storage, handling requirements, and more. Users may download the SDS file free of charge for laboratory or industrial reference.

Product Info

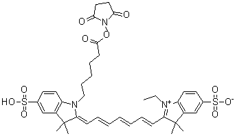
structure of CAS# 477908-53-5, Cy7 (Cyanine 7);2-[7-[1-[6-[(2,5-Dioxo-1-pyrrolidinyl)oxy]-6-oxohexyl]-1,3-dihydro-3,3-dimethyl-5-sulfo-2H-indol-2-ylidene]-1,3,5-heptatrienyl]-1-ethyl-3,3-dimethyl-5-sulfo-3H-indolium inner salt
Product Name Cy7 (Cyanine 7)
CAS Registry Number 477908-53-5
Molecular Formula C39H45N3O10S2
Molecular Weight 779.92
More information of Cy7 (Cyanine 7)
 
Source SDS Document
Ambeed
file.ambeed.com/static/upload/prosds/am/787/SDS-A786248.pdf
View / download

Disclaimer

The SDS samples above are collected from the Internet by chemBlink and displayed here for the tutorial purpose only. chemBlink LLC provides the information contained herein in good faith but makes no representation as to its comprehensiveness or accuracy. Read full context...



Frequently Asked Questions (FAQ)
What is an SDS?   How do I download an SDS?   Are SDSs free?   What is the difference between SDS and MSDS?



More SDS files for chemicals
5-Ethoxy-2-(4-M...   2-Amino-3-bromo...   2-O-beta-D-Gluc...   2-(2,5-Dimethyl...   Bengenin   N-Carbobenzylox...   [2,2,3,3,4,4,5,...   2-Phenyl-Quinol...   Sodium...   Norfenefrine...