Online Database of Chemicals from Around the World

1,3,5,7,9,11,13,15-Octakis(3-aminophenyl)octasilsesquioxane SDS (CAS 518359-82-5)

This page provides the Safety Data Sheet (SDS) for 1,3,5,7,9,11,13,15-Octakis(3-aminophenyl)octasilsesquioxane (CAS 518359-82-5), including information on hazards, first-aid measures, storage, handling requirements, and more. Users may download the SDS file free of charge for laboratory or industrial reference.

Product Info

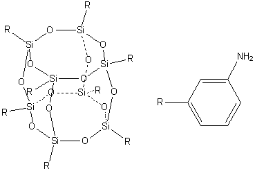
structure of CAS# 518359-82-5, 1,3,5,7,9,11,13,15-Octakis(3-aminophenyl)octasilsesquioxane
Product Name 1,3,5,7,9,11,13,15-Octakis(3-aminophenyl)octasilsesquioxane
CAS Registry Number 518359-82-5
Molecular Formula C48H48N8O12Si8
Molecular Weight 1153.63
More information of 1,3,5,7,9,11,13,15-Octakis(3-aminophenyl)octasilsesquioxane
 
Source SDS Document
Ambeed
file.ambeed.com/static/upload/prosds/am/492/SDS-A491560.pdf
View / download

Disclaimer

The SDS samples above are collected from the Internet by chemBlink and displayed here for the tutorial purpose only. chemBlink LLC provides the information contained herein in good faith but makes no representation as to its comprehensiveness or accuracy. Read full context...



Frequently Asked Questions (FAQ)
What is an SDS?   How do I download an SDS?   Are SDSs free?   What is the difference between SDS and MSDS?



More SDS files for chemicals
1,4-Diiodo-2-(T...   5-Hydroxy-2-met...   5-Bromo-1H-pyra...   3',5'-Dichloro-...   [4-(2-Chlorophe...   4-(3,4-Dimethox...   N-Methylbenzene...   2-Cyano-N-Phene...   2-Cyano-N-(4-Et...   Allamandicin