Identification
| Name |
Abierixin |
| Synonyms |
(E)-7-Hydroxy-8-[2-[5-[5-[6-Hydroxy-6-(Hydroxymethyl)-3,5-Dimethyl-Tetrahydropyran-2-Yl]-3-Methyl-Tetrahydrofuran-2-Yl]-5-Methyl-Tetrahydrofuran-2-Yl]-9-Methoxy-2,4,10-Trimethyl-1,6-Dioxaspiro[4.5]Decan-7-Yl]-2,4-Dimethyl-Oct-2-Enoic Acid; (E)-7-Hydroxy-8-[2-[5-[5-[6-Hydroxy-6-(Hydroxymethyl)-3,5-Dimethyl-2-Tetrahydropyranyl]-3-Methyl-2-Tetrahydrofuranyl]-5-Methyl-2-Tetrahydrofuranyl]-9-Methoxy-2,4,10-Trimethyl-1,6-Dioxaspiro[4.5]Decan-7-Yl]-2,4-Dimethyloct-2-Enoic Acid; (E)-7-Hydroxy-8-[2-[5-[5-(6-Hydroxy-3,5-Dimethyl-6-Methylol-Tetrahydropyran-2-Yl)-3-Methyl-Tetrahydrofuran-2-Yl]-5-Methyl-Tetrahydrofuran-2-Yl]-9-Methoxy-2,4,10-Trimethyl-1,6-Dioxaspiro[4.5]Decan-7-Yl]-2,4-Dimethyl-Oct-2-Enoic Acid |
|
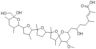
| Molecular Structure |
 |
| Molecular Formula |
C40H68O11 |
| Molecular Weight |
724.97 |
| CAS Registry Number |
100634-16-0 |
| SMILES |
C(C5CC(C(C1(C(C)CC(C)(O1)C2CCC(O2)(C3C(CC(O3)C4C(CC(C(O4)(O)CO)C)C)C)C)O5)C)OC)C(CCC(\C=C(C(O)=O)/C)C)O |
| InChI |
1S/C40H68O11/c1-22(15-25(4)36(43)44)11-12-29(42)18-30-19-31(46-10)28(7)40(48-30)27(6)20-38(9,51-40)33-13-14-37(8,49-33)35-24(3)17-32(47-35)34-23(2)16-26(5)39(45,21-41)50-34/h15,22-24,26-35,41-42,45H,11-14,16-21H2,1-10H3,(H,43,44)/b25-15+ |
| InChIKey |
JQESXHYTUWEFCM-MFKUBSTISA-N |
|