Online Database of Chemicals from Around the World

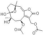
(4S,6R,7S,10R,11E)-4-(Acetyloxy)-3-[(acetyloxy)methyl]-5,6,7,8,9,10-hexahydro-6,7-dihydroxy-6,10-dimethyl-7,10-epoxycyclodeca[b]furan-2(4H)-one
[CAS 101628-29-9]

List of Suppliers
BioBioPha Co., Ltd. China
www.biobiopha.com
+86 (871) 6521-7109
+86 (871) 6521-5563
sales@mail.biobiopha.com
QQ Chat
Chemical manufacturer
chemBlink Standard supplier since 2011

Identification
ClassificationNatural product >> Sesquiter
Name(4S,6R,7S,10R,11E)-4-(Acetyloxy)-3-[(acetyloxy)methyl]-5,6,7,8,9,10-hexahydro-6,7-dihydroxy-6,10-dimethyl-7,10-epoxycyclodeca[b]furan-2(4H)-one
Molecular Structure(4S,6R,7S,10R,11E)-4-(Acetyloxy)-3-[(acetyloxy)methyl]-5,6,7,8,9,10-hexahydro-6,7-dihydroxy-6,10-dimethyl-7,10-epoxycyclodeca[b]furan-2(4H)-one molecular structure (CAS 101628-29-9)
Molecular FormulaC19H24O9
Molecular Weight396.39
CAS Registry Number101628-29-9
Properties
SolubilitySoluble (48 g/L) (25 °C), Calc.*
Density1.40±0.1 g/cm3 (20 °C 760 Torr), Calc.*
*Calculated using Advanced Chemistry Development (ACD/Labs) Software V11.02 (©1994-2014 ACD/Labs)
Market Analysis Reports
Related Products
[(2R,3S,4R,5R)-...  2-[(17S,18S,19S...  [(2R,3S,4R,5R)-...  5-(Acetyloxy)-4...  [(2R,3R,4R,5R)-...  4-(Acetyloxy)-3...  [5-Acetyloxy-2-...  [4-Acetyloxy-2-...  (4S)-9-(Acetylo...  (3aR,4S,5R,6aS)...  [(3S,4S,5S)-4-A...  [(3R,4S,5R)-4-A...  (2S,16R,17S,21R...  [(E)-3-Acetylox...  [7-Acetyloxy-2-...  [(2S,3R,4S,5R)-...  2-[2-(2-Acetylo...  1-[2-(2-Acetylo...  5-Acetyloxy-4-a...  2-Acetyloxy-4-A...