Online Database of Chemicals from Around the World

(2S,5S,11S,14S,24S)-24-Amino-11-Butan-2-Yl-14-(2-Methylsulfanylethyl)-2,5-Bis(Phenylmethyl)-1,4,7,10,13,16,20-Heptazacyclopentacosane-3,6,9,12,15,21,25-Heptone
[CAS 102334-63-4]

Suppliers
CAS#: 102334-63-4
Product: (2S,5S,11S,14S,24S)-24-Amino-11-Butan-2-Yl-14-(2-Methylsulfanylethyl)-2,5-Bis(Phenylmethyl)-1,4,7,10,13,16,20-Heptazacyclopentacosane-3,6,9,12,15,21,25-Heptone
No suppilers available for the product.
Identification
Name (2S,5S,11S,14S,24S)-24-Amino-11-Butan-2-Yl-14-(2-Methylsulfanylethyl)-2,5-Bis(Phenylmethyl)-1,4,7,10,13,16,20-Heptazacyclopentacosane-3,6,9,12,15,21,25-Heptone
Synonyms (2S,5S,11S,14S,24S)-24-Amino-14-(2-Methylsulfanylethyl)-2,5-Bis(Phenylmethyl)-11-Sec-Butyl-1,4,7,10,13,16,20-Heptazacyclopentacosane-3,6,9,12,15,21,25-Heptone; (2S,5S,11S,14S,24S)-24-Amino-14-[2-(Methylthio)Ethyl]-2,5-Bis(Phenylmethyl)-11-Sec-Butyl-1,4,7,10,13,16,20-Heptazacyclopentacosane-3,6,9,12,15,21,25-Heptone; (2S,5S,11S,14S,24S)-24-Amino-2,5-Bis(Benzyl)-14-[2-(Methylthio)Ethyl]-11-Sec-Butyl-1,4,7,10,13,16,20-Heptazacyclopentacosane-3,6,9,12,15,21,25-Heptone
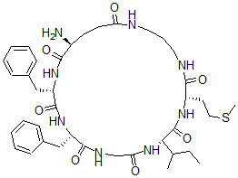
Molecular Structure CAS#: 102334-63-4, (2S,5S,11S,14S,24S)-24-Amino-11-Butan-2-Yl-14-(2-Methylsulfanylethyl)-2,5-Bis(Phenylmethyl)-1,4,7,10,13,16,20-Heptazacyclopentacosane-3,6,9,12,15,21,25-Heptone
Molecular Formula C39H56N8O7S
Molecular Weight 780.98
CAS Registry Number 102334-63-4
SMILES [C@H]1(NC(=O)[C@@H](NC(=O)[C@@H](N)CCC(=O)NCCCNC(=O)[C@@H](NC(=O)[C@@H](NC(=O)CNC1=O)C(CC)C)CCSC)CC2=CC=CC=C2)CC3=CC=CC=C3
InChI 1S/C39H56N8O7S/c1-4-25(2)34-39(54)44-29(18-21-55-3)36(51)42-20-11-19-41-32(48)17-16-28(40)35(50)45-31(23-27-14-9-6-10-15-27)38(53)46-30(22-26-12-7-5-8-13-26)37(52)43-24-33(49)47-34/h5-10,12-15,25,28-31,34H,4,11,16-24,40H2,1-3H3,(H,41,48)(H,42,51)(H,43,52)(H,44,54)(H,45,50)(H,46,53)(H,47,49)/t25?,28-,29-,30-,31-,34-/m0/s1
InChIKey GEQVOAMRMGKWAX-ZJFASKHXSA-N
Properties
Density 1.129g/cm3 (Cal.)
Boiling point 1199.351°C at 760 mmHg (Cal.)
Flash point 679.143°C (Cal.)
Market Analysis Reports
Related Products
N2-(...  N-(2-Aminobutan...  N-(4-Aminobutan...  [2-(4-Aminobuta...  L-2-Aminobutano...  L-2-Aminobutano...  2-aminobutanoyl...  1-Amino-4-(Buta...  4-Amino-6-(Buta...  N-(1-Amino-2-bu...  2-Amino-6-Butan...  3-[(1-Amino-2-B...  3-[(3-Amino-2-B...  5-Amino-N-Butan...  (2S)-2-Amino-N-...  (2Z)-2-Amino-2-...  3-Amino-2-Buten...  2-Amino-2-Buten...  (2E)-3-Amino-2-...  2-Amino-3-Buten...