Online Database of Chemicals from Around the World

Clofibric Acid-Coenzyme A
[CAS 104732-21-0]

Suppliers
CAS#: 104732-21-0
Product: Clofibric Acid-Coenzyme A
No suppilers available for the product.
Identification
Name Clofibric Acid-Coenzyme A
Synonyms S-[2-[3-[[(2R)-4-[[[(2R,3S,4R,5R)-5-(6-Aminopurin-9-Yl)-4-Hydroxy-3-Phosphonooxy-Tetrahydrofuran-2-Yl]Methoxy-Hydroxy-Phosphoryl]Oxy-Hydroxy-Phosphoryl]Oxy-2-Hydroxy-3,3-Dimethyl-Butanoyl]Amino]Propanoylamino]Ethyl] 2-(4-Chlorophenoxy)-2-Methyl-Propanethioate; 2-(4-Chlorophenoxy)-2-Methylpropanethioic Acid S-[2-[[3-[[(2R)-4-[[[(2R,3S,4R,5R)-5-(6-Amino-9-Purinyl)-4-Hydroxy-3-Phosphonooxy-2-Tetrahydrofuranyl]Methoxy-Hydroxyphosphoryl]Oxy-Hydroxyphosphoryl]Oxy-2-Hydroxy-3,3-Dimethyl-1-Oxobutyl]Amino]-1-Oxopropyl]Amino]Ethyl] Ester; 2-(4-Chlorophenoxy)-2-Methyl-Propanethioic Acid S-[2-[3-[[(2R)-4-[[[(2R,3S,4R,5R)-5-(6-Aminopurin-9-Yl)-4-Hydroxy-3-Phosphonooxy-Tetrahydrofuran-2-Yl]Methoxy-Hydroxy-Phosphoryl]Oxy-Hydroxy-Phosphoryl]Oxy-2-Hydroxy-3,3-Dimethyl-Butanoyl]Amino]Propanoylamino]Ethyl] Ester
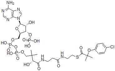
Molecular Structure CAS#: 104732-21-0, Clofibric Acid-Coenzyme A
Molecular Formula C31H45ClN7O18P3S
Molecular Weight 964.17
CAS Registry Number 104732-21-0
SMILES [C@H]1(O[C@@H]([C@@H](O[P](=O)(O)O)[C@H]1O)CO[P](O[P](OCC([C@@H](O)C(=O)NCCC(=O)NCCSC(=O)C(OC2=CC=C(Cl)C=C2)(C)C)(C)C)(=O)O)(=O)O)[N]3C4=C(N=C3)C(=NC=N4)N
InChI 1S/C31H45ClN7O18P3S/c1-30(2,24(42)27(43)35-10-9-20(40)34-11-12-61-29(44)31(3,4)55-18-7-5-17(32)6-8-18)14-53-60(50,51)57-59(48,49)52-13-19-23(56-58(45,46)47)22(41)28(54-19)39-16-38-21-25(33)36-15-37-26(21)39/h5-8,15-16,19,22-24,28,41-42H,9-14H2,1-4H3,(H,34,40)(H,35,43)(H,48,49)(H,50,51)(H2,33,36,37)(H2,45,46,47)/t19-,22-,23-,24+,28-/m1/s1
InChIKey YCMNRTMIKDPOSZ-VXAHOBLNSA-N
Properties
Density 1.769g/cm3 (Cal.)
Market Analysis Reports
Related Products
Clofenciclan;2-...  Clofenetamine;K...  Clofenoxyde;2-C...  Clofentezine;3,...  Clofeverine;1-(...  Clofezone  Clofibrate-d4  Clofibrate;Ethy...  Clofibric-d4 Ac...  Clofibric Acid ...  Clofibric Furan...  Clofibric Pyran...  Clofibride;(4-D...  Clofilium;4-(4-...  Clofilium Phosp...  Clofilium tosyl...  Cloflumide;3-[4...  Clofluperol;4-[...  Clofoctol;2-[(2...  Clofop;2-[4-(4-...