Online Database of Chemicals from Around the World

Lustromycin
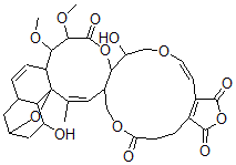
[CAS 105156-68-1]

Suppliers
CAS#: 105156-68-1
Product: Lustromycin
No suppilers available for the product.
Identification
Name Lustromycin
Molecular Structure CAS#: 105156-68-1, Lustromycin
Molecular Formula C32H38O13
Molecular Weight 630.64
CAS Registry Number 105156-68-1
SMILES C\C1=C/C6C(OC(=O)C(OC)C(OC)C4C12OC3CC(C2C(O)C3)C=C4)C(O)CO/C=C/C5=C(C(OC5=O)=O)CCC(OC6)=O
InChI 1S/C32H38O13/c1-15-10-17-13-42-24(35)7-5-19-20(30(37)44-29(19)36)8-9-41-14-23(34)26(17)43-31(38)28(40-3)27(39-2)21-6-4-16-11-18-12-22(33)25(16)32(15,21)45-18/h4,6,8-10,16-18,21-23,25-28,33-34H,5,7,11-14H2,1-3H3/b9-8+,15-10+
InChIKey FDSONACTBUTSIH-RQADFKIXSA-N
Market Analysis Reports
Related Products
Lurasidone hydr...  Lurasidone Impu...  Lurasidone Impu...  Lurasidone Impu...  Lurasidone Impu...  Lurasidone Impu...  Lurbinectedin;P...  Lurgyl;Aluminum...  Lurtotecan dihy...  Luseogliflozin;...  Lusupultide  Lusutrombopag;(...  Lutein Epoxide;...  Luteinizing Hor...  Luteinizing Hor...  Luteinizinghorm...  Luteinizing hor...  Luteinizing Hor...  Luteinizing Hor...  LutensolFSA 10