Online Database of Chemicals from Around the World

5-Amino-6-[4-Amino-2-[4-[3-Amino-6-(Aminomethyl)-4,5-Dihydroxyoxan-2-Yl]Oxy-3-Hydroxy-5-(Hydroxymethyl)Oxolan-2-Yl]Oxy-3-Hydroxy-6-Methylaminocyclohexyl]Oxy-2-(Hydroxymethyl)Oxane-3,4-Diol
[CAS 106288-50-0]

Suppliers
CAS#: 106288-50-0
Product: 5-Amino-6-[4-Amino-2-[4-[3-Amino-6-(Aminomethyl)-4,5-Dihydroxyoxan-2-Yl]Oxy-3-Hydroxy-5-(Hydroxymethyl)Oxolan-2-Yl]Oxy-3-Hydroxy-6-Methylaminocyclohexyl]Oxy-2-(Hydroxymethyl)Oxane-3,4-Diol
No suppilers available for the product.
Identification
Name 5-Amino-6-[4-Amino-2-[4-[3-Amino-6-(Aminomethyl)-4,5-Dihydroxyoxan-2-Yl]Oxy-3-Hydroxy-5-(Hydroxymethyl)Oxolan-2-Yl]Oxy-3-Hydroxy-6-Methylaminocyclohexyl]Oxy-2-(Hydroxymethyl)Oxane-3,4-Diol
Synonyms 5-Amino-6-[4-Amino-2-[4-[3-Amino-6-(Aminomethyl)-4,5-Dihydroxy-Tetrahydropyran-2-Yl]Oxy-3-Hydroxy-5-(Hydroxymethyl)Tetrahydrofuran-2-Yl]Oxy-3-Hydroxy-6-Methylamino-Cyclohexoxy]-2-(Hydroxymethyl)Tetrahydropyran-3,4-Diol; 5-Amino-6-[4-Amino-2-[[4-[[3-Amino-6-(Aminomethyl)-4,5-Dihydroxy-2-Tetrahydropyranyl]Oxy]-3-Hydroxy-5-(Hydroxymethyl)-2-Tetrahydrofuranyl]Oxy]-3-Hydroxy-6-Methylaminocyclohexoxy]-2-(Hydroxymethyl)Tetrahydropyran-3,4-Diol; 5-Amino-6-[4-Amino-2-[4-[3-Amino-6-(Aminomethyl)-4,5-Dihydroxy-Tetrahydropyran-2-Yl]Oxy-3-Hydroxy-5-Methylol-Tetrahydrofuran-2-Yl]Oxy-3-Hydroxy-6-Methylamino-Cyclohexoxy]-2-Methylol-Tetrahydropyran-3,4-Diol
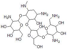
Molecular Structure CAS#: 106288-50-0, 5-Amino-6-[4-Amino-2-[4-[3-Amino-6-(Aminomethyl)-4,5-Dihydroxyoxan-2-Yl]Oxy-3-Hydroxy-5-(Hydroxymethyl)Oxolan-2-Yl]Oxy-3-Hydroxy-6-Methylaminocyclohexyl]Oxy-2-(Hydroxymethyl)Oxane-3,4-Diol
Molecular Formula C24H47N5O14
Molecular Weight 629.66
CAS Registry Number 106288-50-0
SMILES C(C1OC(C(C(C1O)O)N)OC2C(OC(C2O)OC3C(C(CC(C3O)N)NC)OC4OC(C(C(C4N)O)O)CO)CO)N
InChI 1S/C24H47N5O14/c1-29-7-2-6(26)13(32)21(19(7)41-23-12(28)17(36)15(34)9(4-30)39-23)43-24-18(37)20(10(5-31)40-24)42-22-11(27)16(35)14(33)8(3-25)38-22/h6-24,29-37H,2-5,25-28H2,1H3
InChIKey IXVXCXPQRNEULP-UHFFFAOYSA-N
Properties
Density 1.597g/cm3 (Cal.)
Boiling point 935.03°C at 760 mmHg (Cal.)
Flash point 519.288°C (Cal.)
Market Analysis Reports
Related Products
(2S)-1-[(2S)-2-...  2-Amino-N-[4-Am...  2-Amino-N-[4-Am...  2-Amino-N-[4-Am...  2-Amino-N-[4-Am...  2-Amino-N-[4-Am...  2-Amino-N-[5-Am...  2-Amino-N-[4-Am...  2-Amino-N-[4-Am...  4-Amino-N-[5-Am...  (2S)-4-Amino-N-...  (2S)-2-[[(2S)-2...  (9R,12R,15R,18R...  (2S)-2-Amino-N-...  (2R)-2-[[(2S)-2...  3-[[3-Amino-6-[...  4-Amino-N-[5-Am...  4-amino-1-[5-am...  2-Amino-N-[4-Am...  (2S)-2-Amino-5-...