Online Database of Chemicals from Around the World

Epelmycin B
[CAS 107807-24-9]

Suppliers
CAS#: 107807-24-9
Product: Epelmycin B
No suppilers available for the product.
Identification
Name Epelmycin B
Synonyms Epelmycin B
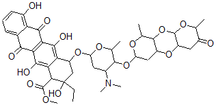
Molecular Structure CAS#: 107807-24-9, Epelmycin B
Molecular Formula C42H51NO16
Molecular Weight 825.86
CAS Registry Number 107807-24-9
SMILES C8=C7C(=O)C1=C(C(=C2C(=C1O)C(C(O)(CC2OC6OC(C(OC5OC(C4OC3OC(C(=O)CC3OC4C5)C)C)C(N(C)C)C6)C)CC)C(OC)=O)O)C(=O)C7=C(O)C=C8
InChI 1S/C42H51NO16/c1-8-42(51)15-25(29-30(33(42)40(50)52-7)37(49)31-32(36(29)48)35(47)28-19(34(31)46)10-9-11-21(28)44)57-26-12-20(43(5)6)38(17(3)53-26)58-27-14-23-39(18(4)54-27)59-41-24(56-23)13-22(45)16(2)55-41/h9-11,16-18,20,23-27,33,38-39,41,44,48-49,51H,8,12-15H2,1-7H3
InChIKey DKXGZTHFCJJLIP-UHFFFAOYSA-N
Properties
Density 1.483g/cm3 (Cal.)
Boiling point 860.204°C at 760 mmHg (Cal.)
Flash point 474.034°C (Cal.)
Market Analysis Reports
Related Products
Enzalutamide-d6...  Enzalutamide Im...  Enzalutamide Im...  Enzalutamide Im...  Enzalutamide Im...  Enzalutamide Im...  Enzastaurin;LY ...  Eosin B;4',5'-D...  Eosin Methylene...  Epalrestat;(E,E...  Epelmycin C;Met...  Eperezolid;PNU ...  Eperisone;4'-Et...  Eperisone hydro...  Epervudine;1-[4...  Epetraborole;3-...  Ephedra distach...  Ephedra Sinica,...  Ephedrine;(1R,2...  L-(-)-Ephedrine...