Online Database of Chemicals from Around the World

Azalomycin-F
[CAS 11003-24-0]

Suppliers
CAS#: 11003-24-0
Product: Azalomycin-F
No suppilers available for the product.
Identification
Name Azalomycin-F
Synonyms 3-[[(13E,15E,21E,23E)-19-[(E)-9-Guanidino-1-Methyl-Non-5-Enyl]-1,3,7,9,11,25,27,29,35,36-Decahydroxy-4,8,12,16,20,24-Hexamethyl-17-Oxo-18,37-Dioxabicyclo[31.3.1]Heptatriaconta-13,15,21,23-Tetraen-31-Yl]Oxy]-3-Oxo-Propanoic Acid; 3-[[(13E,15E,21E,23E)-19-[(E)-9-Guanidino-1-Methylnon-5-Enyl]-1,3,7,9,11,25,27,29,35,36-Decahydroxy-4,8,12,16,20,24-Hexamethyl-17-Oxo-18,37-Dioxabicyclo[31.3.1]Heptatriaconta-13,15,21,23-Tetraen-31-Yl]Oxy]-3-Oxopropanoic Acid; 3-[[(13E,15E,21E,23E)-19-[(E)-9-Guanidino-1-Methyl-Non-5-Enyl]-1,3,7,9,11,25,27,29,35,36-Decahydroxy-17-Keto-4,8,12,16,20,24-Hexamethyl-18,37-Dioxabicyclo[31.3.1]Heptatriaconta-13,15,21,23-Tetraen-31-Yl]Oxy]-3-Keto-Propionic Acid
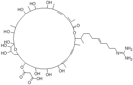
Molecular Structure CAS#: 11003-24-0, Azalomycin-F
Molecular Formula C55H93N3O17
Molecular Weight 1068.35
CAS Registry Number 11003-24-0
SMILES C(C(OC2CC1OC(O)(C(O)C(O)C1)CC(O)C(CCC(O)C(C(O)CC(O)C(C)\C=C\C=C(C(OC(C(CCC\C=C\CCCN=C(N)N)C)C(\C=C\C=C(C(O)CC(O)CC(O)C2)/C)C)=O)/C)C)C)=O)C(O)=O
InChI 1S/C55H93N3O17/c1-32-17-14-19-36(5)51(35(4)16-12-10-8-9-11-13-23-58-54(56)57)74-53(71)37(6)20-15-18-33(2)45(63)29-46(64)38(7)43(61)22-21-34(3)48(66)31-55(72)52(70)47(65)28-42(75-55)27-41(73-50(69)30-49(67)68)25-39(59)24-40(60)26-44(32)62/h8-9,14-15,17-20,33-36,38-48,51-52,59-66,70,72H,10-13,16,21-31H2,1-7H3,(H,67,68)(H4,56,57,58)/b9-8+,18-15+,19-14+,32-17+,37-20+
InChIKey UVUPYXTUQSCQRV-PEKXHOPKSA-N
Market Analysis Reports
Related Products
5-Azaindole-2-c...  7-Azaindole-7-o...  7-Azaindole N-o...  D,L-7-Aza-3-ind...  9-Azajulolidine  1-Azakenpaullon...  Azaleatin;2-(3,...  Azaleucine;(2S)...  4-Aza-DL-Leucin...  Azaline A;Azali...  Azalomycin F4;3...  Azamethiphos;S-...  Azamethiphos-d6  Azamethonium Br...  15-Aza-24-Methy...  Azamulin;Azamul...  Azanator;5-(1-M...  Azane;Ammonia;S...  Azane, Cyclopen...  Azane, 1,2-Di(E...