Online Database of Chemicals from Around the World

3beta-[[2-O-(6-O-beta-D-Glucopyranosyl-beta-D-Glucopyranosyl)-6-Deoxy-3-O-Methyl-alpha-L-Glucopyranosyl]Oxy]-14-Hydroxy-5beta,14beta-Card-20(22)-Enolide
[CAS 11005-70-2]

Suppliers
CAS#: 11005-70-2
Product: 3beta-[[2-O-(6-O-beta-D-Glucopyranosyl-beta-D-Glucopyranosyl)-6-Deoxy-3-O-Methyl-alpha-L-Glucopyranosyl]Oxy]-14-Hydroxy-5beta,14beta-Card-20(22)-Enolide
No suppilers available for the product.
Identification
Name 3beta-[[2-O-(6-O-beta-D-Glucopyranosyl-beta-D-Glucopyranosyl)-6-Deoxy-3-O-Methyl-alpha-L-Glucopyranosyl]Oxy]-14-Hydroxy-5beta,14beta-Card-20(22)-Enolide
Synonyms 4-[(3S,5R,8R,9S,10S,13R,14S,17R)-14-Hydroxy-3-[(2R,3S,4R,5S,6S)-5-Hydroxy-4-Methoxy-6-Methyl-3-[(2S,3R,4S,5S,6R)-3,4,5-Trihydroxy-6-[[(2R,3R,4S,5S,6R)-3,4,5-Trihydroxy-6-(Hydroxymethyl)Tetrahydropyran-2-Yl]Oxymethyl]Tetrahydropyran-2-Yl]Oxy-Tetrahydropyran-2-Yl]Oxy-10,13-Dimethyl-1,2,3,4,5,6,7,8,9,11,12,15,16,17-Tetradecahydrocyclopenta[A]Phenanthren-17-Yl]-5H-Furan-2-One; 4-[(3S,5R,8R,9S,10S,13R,14S,17R)-14-Hydroxy-3-[[(2R,3S,4R,5S,6S)-5-Hydroxy-4-Methoxy-6-Methyl-3-[[(2S,3R,4S,5S,6R)-3,4,5-Trihydroxy-6-[[(2R,3R,4S,5S,6R)-3,4,5-Trihydroxy-6-(Hydroxymethyl)-2-Tetrahydropyranyl]Oxymethyl]-2-Tetrahydropyranyl]Oxy]-2-Tetrahydropyranyl]Oxy]-10,13-Dimethyl-1,2,3,4,5,6,7,8,9,11,12,15,16,17-Tetradecahydrocyclopenta[A]Phenanthren-17-Yl]-5H-Furan-2-One; 4-[(3S,5R,8R,9S,10S,13R,14S,17R)-14-Hydroxy-3-[(2R,3S,4R,5S,6S)-5-Hydroxy-4-Methoxy-6-Methyl-3-[(2S,3R,4S,5S,6R)-3,4,5-Trihydroxy-6-[[(2R,3R,4S,5S,6R)-3,4,5-Trihydroxy-6-Methylol-Tetrahydropyran-2-Yl]Oxymethyl]Tetrahydropyran-2-Yl]Oxy-Tetrahydropyran-2-Yl]Oxy-10,13-Dimethyl-1,2,3,4,5,6,7,8,9,11,12,15,16,17-Tetradecahydrocyclopenta[A]Phenanthren-17-Yl]-5H-Furan-2-One
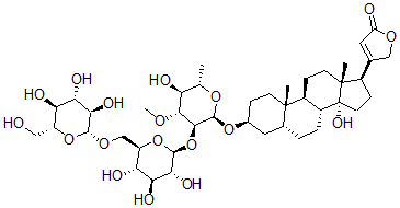
Molecular Structure CAS#: 11005-70-2, 3beta-[[2-O-(6-O-beta-D-Glucopyranosyl-beta-D-Glucopyranosyl)-6-Deoxy-3-O-Methyl-alpha-L-Glucopyranosyl]Oxy]-14-Hydroxy-5beta,14beta-Card-20(22)-Enolide
Molecular Formula C42H66O18
Molecular Weight 858.97
CAS Registry Number 11005-70-2
SMILES [C@]68([C@H]5[C@@H]([C@@]4([C@@H](C[C@@H](O[C@H]1[C@H]([C@@H]([C@@H](O)[C@@H](O1)C)OC)O[C@@H]3O[C@H](CO[C@@H]2O[C@@H]([C@@H](O)[C@@H]([C@H]2O)O)CO)[C@@H](O)[C@@H]([C@H]3O)O)CC4)CC5)C)CC[C@@]6([C@@H](C7=CC(=O)OC7)CC8)C)O
InChI 1S/C42H66O18/c1-18-28(45)35(53-4)36(60-38-34(51)32(49)30(47)26(59-38)17-55-37-33(50)31(48)29(46)25(15-43)58-37)39(56-18)57-21-7-10-40(2)20(14-21)5-6-24-23(40)8-11-41(3)22(9-12-42(24,41)52)19-13-27(44)54-16-19/h13,18,20-26,28-39,43,45-52H,5-12,14-17H2,1-4H3/t18-,20+,21-,22+,23-,24+,25+,26+,28-,29+,30+,31-,32-,33+,34+,35+,36-,37+,38-,39-,40-,41+,42-/m0/s1
InChIKey QWNHCYWCKDKDMK-RCGKHZRRSA-N
Properties
Density 1.464g/cm3 (Cal.)
Boiling point 1008°C at 760 mmHg (Cal.)
Flash point 298.055°C (Cal.)
Market Analysis Reports
Related Products
4-O-alpha-D-Glu...  4-O-alpha-D-Glu...  4-O-alpha-D-Glu...  beta-D-Glucopyr...  alpha-D-glucopy...  O-beta-D-Glucop...  4-O-alpha-D-Glu...  4-O-beta-D-Gluc...  11-O-Glucopyran...  1-(4-O-beta-D-G...  6-(2-O-beta-D-G...  8-(4-O-beta-D-G...  3-O-(beta-D-Glu...  4-O-beta-D-Gluc...  26-O-beta-D-Glu...  (25R)-3beta-[4-...  (25R)-3beta-[[4...  O-beta-D-Glucop...  O-beta-D-Glucop...  O-beta-D-Glucop...