Online Database of Chemicals from Around the World

Parvodicin
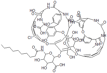
[CAS 110882-81-0]

Suppliers
CAS#: 110882-81-0
Product: Parvodicin
No suppilers available for the product.
Identification
Name Parvodicin
Synonyms Parvodicin A; Parvodicin B1; Parvodicin B2
Molecular Structure CAS#: 110882-81-0, Parvodicin
Molecular Formula C81H84Cl2N8O29
Molecular Weight 1704.50
CAS Registry Number 110882-81-0
SMILES N5C7C(NC1C(NC%10C(NC(C(C9=CC(=C(OC2=CC1=CC(=C2OC3C(C(C(C(O3)NC(=O)CCCCCCCCC)O)O)C(O)=O)OC4=CC=C(C=C4)CC(C5=O)NC(C(C6=CC(=C(C=C6)O)OC8=CC7=C(C(=C8)O)Cl)NC)=O)C=C9)Cl)O)C(NC(C%12=C(C%11=CC%10=CC=C%11O)C(=CC(=C%12)O)OC%13OC(C(C(C%13O)O)O)CO)C(O)=O)=O)=O)=O)=O
InChI 1S/C81H84Cl2N8O29/c1-3-4-5-6-7-8-9-10-54(97)86-77-68(102)66(100)56(78(110)111)80(120-77)119-70-51-25-36-26-52(70)116-48-20-15-35(23-43(48)82)64(98)63-76(109)90-62(79(112)113)41-27-37(93)28-50(117-81-69(103)67(101)65(99)53(31-92)118-81)55(41)40-22-33(13-18-45(40)94)59(73(106)91-63)87-74(107)60(36)88-75(108)61-42-29-39(30-47(96)57(42)83)115-49-24-34(14-19-46(49)95)58(84-2)72(105)85-44(71(104)89-61)21-32-11-16-38(114-51)17-12-32/h11-20,22-30,44,53,56,58-69,77,80-81,84,92-96,98-103H,3-10,21,31H2,1-2H3,(H,85,105)(H,86,97)(H,87,107)(H,88,108)(H,89,104)(H,90,109)(H,91,106)(H,110,111)(H,112,113)
InChIKey NEBIDXWQDNKSQS-UHFFFAOYSA-N
Properties
Density 1.68g/cm3 (Cal.)
Market Analysis Reports
Related Products
Paroxol Methane...  Parsalmide;5-Am...  Parsley Seed Oi...  PARSOL SLX  Parstelin;10-[3...  Parthenin;6A-Hy...  Parthenolide  Parthenolide;2,...  Parvalbumin  Parvaquone;2-Hy...  Parvulomycin  Parylene F Dime...  Pashanone  Pasiniazid;Ison...  Pasireotide;Cyc...  Paspalicine;4H-...  Paspaline;Paspa...  Paspalinine;4H-...  Passibiflorin;1...  Passicapsin;(1S...