Online Database of Chemicals from Around the World

FLST-c
[CAS 111216-36-5]

List of Suppliers
Alfa Chemistry USA
www.alfa-chemistry.com
+1 (201) 478-8534
+1 (516) 927-0118
inquiry@alfa-chemistry.com
Chemical distributor since 2012
chemBlink Standard supplier since 2012
Glentham Life Sciences UK
www.glenthamls.com
+44 (2033) 978-798
+44 (2033) 978-909
info@glenthamls.com
Chemical distributor since 2013
chemBlink Standard supplier since 2013

Identification
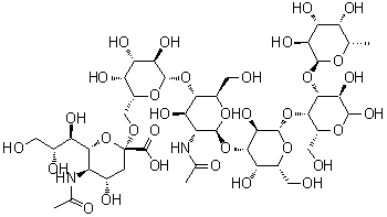
NameFLST-c
SynonymsO-(N-Acetyl-alpha-neuraminosyl)-(2→6)-O-beta-D-galactopyranosyl-(1→4)-O-2-(acetylamino)-2-deoxy-beta-D-glucopyranosyl-(1→3)-O-beta-D-galactopyranosyl-(1→4)-O-[6-deoxy-alpha-L-galactopyranosyl-(1→3)]-D-glucose
Molecular StructureFLST-c molecular structure (CAS 111216-36-5)
Molecular FormulaC43H72N2O33
Molecular Weight1145.03
CAS Registry Number111216-36-5
Properties
SolubilitySlightly soluble (4.6 g/L) (25 °C), Calc.*
Density1.74±0.1 g/cm3 (20 °C 760 Torr), Calc.*
*Calculated using Advanced Chemistry Development (ACD/Labs) Software V11.02 (©1994-2014 ACD/Labs)
Safety Data
SDSAvailable
Market Analysis Reports
Related Products
Florilenalin  Floropal  Florosenine  Florpyrauxifen  Flosulide  Flotrenizine  Flours and Meal...  Floverine  Floxacrine  Floxuridine  FLT3-IN-10  Fluacizine  Fluacrypyrim  Fluacrypyrim  Flualamide  Flualprazolam  Fluanisone  Fluazacort  Fluazifop  Fluazifop-P