Identification
| Name |
4-Pro-argipressin |
| Synonyms |
1-[9-Amino-17-(2-Amino-2-Oxo-Ethyl)-6-[(4-Hydroxyphenyl)Methyl]-2,5,8,16,19-Pentaoxo-3-(Phenylmethyl)11,12-Dithia-1,4,7,15,18-Pentazabicyclo[18.3.0]Tricosane-14-Carbonyl]-N-[1-[(2-Amino-2-Oxo-Ethyl)Carbamoyl]-4-Guanidino-Butyl]Pyrrolidine-2-Carboxamide; 1-[[9-Amino-17-(2-Amino-2-Oxoethyl)-6-[(4-Hydroxyphenyl)Methyl]-2,5,8,16,19-Pentaoxo-3-(Phenylmethyl)-11,12-Dithia-1,4,7,15,18-Pentazabicyclo[18.3.0]Tricosan-14-Yl]-Oxomethyl]-N-[1-[[(2-Amino-2-Oxoethyl)Amino]-Oxomethyl]-4-Guanidinobutyl]-2-Pyrrolidinecarboxamide; 1-[9-Amino-17-(2-Amino-2-Keto-Ethyl)-3-(Benzyl)-6-(4-Hydroxybenzyl)-2,5,8,16,19-Pentaketo-11,12-Dithia-1,4,7,15,18-Pentazabicyclo[18.3.0]Tricosane-14-Carbonyl]-N-[1-[(2-Amino-2-Keto-Ethyl)Carbamoyl]-4-Guanidino-Butyl]Pyrrolidine-2-Carboxamide |
|
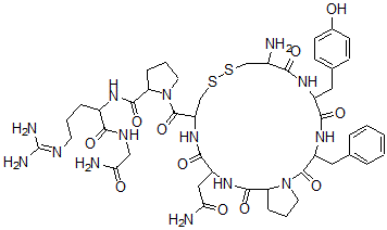
| Molecular Structure |
 |
| Molecular Formula |
C46H64N14O11S2 |
| Molecular Weight |
1053.22 |
| CAS Registry Number |
112935-95-2 |
| SMILES |
C5=C(CC2NC(=O)C(NC(=O)C(N)CSSCC(NC(=O)C(NC(=O)C1N(CCC1)C2=O)CC(=O)N)C(=O)N3C(CCC3)C(=O)NC(CCCN=C(N)N)C(=O)NCC(=O)N)CC4=CC=C(O)C=C4)C=CC=C5 |
| InChI |
1S/C46H64N14O11S2/c47-28-23-72-73-24-33(45(71)60-18-6-10-34(60)42(68)54-29(9-4-16-52-46(50)51)39(65)53-22-37(49)63)58-41(67)31(21-36(48)62)56-43(69)35-11-5-17-59(35)44(70)32(20-25-7-2-1-3-8-25)57-40(66)30(55-38(28)64)19-26-12-14-27(61)15-13-26/h1-3,7-8,12-15,28-35,61H,4-6,9-11,16-24,47H2,(H2,48,62)(H2,49,63)(H,53,65)(H,54,68)(H,55,64)(H,56,69)(H,57,66)(H,58,67)(H4,50,51,52) |
| InChIKey |
WZSKULBMQXEEPL-UHFFFAOYSA-N |
|