Online Database of Chemicals from Around the World

1,2-Diundecanoylphosphatidylethanolamine
[CAS 117610-63-6]

Suppliers
CAS#: 117610-63-6
Product: 1,2-Diundecanoylphosphatidylethanolamine
No suppilers available for the product.
Identification
Name 1,2-Diundecanoylphosphatidylethanolamine
Synonyms [(1R)-1-[(2-Aminoethoxy-Hydroxy-Phosphoryl)Oxymethyl]-2-Undecanoyloxy-Ethyl] Undecanoate; Undecanoic Acid [(1R)-1-[(2-Aminoethoxy-Hydroxyphosphoryl)Oxymethyl]-2-(1-Oxoundecoxy)Ethyl] Ester; Undecanoic Acid [(1R)-1-[(2-Aminoethoxy-Hydroxy-Phosphoryl)Oxymethyl]-2-Undecanoyloxy-Ethyl] Ester
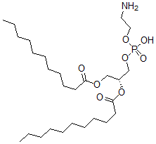
Molecular Structure CAS#: 117610-63-6, 1,2-Diundecanoylphosphatidylethanolamine
Molecular Formula C27H54NO8P
Molecular Weight 551.70
CAS Registry Number 117610-63-6
SMILES [C@@H](COC(CCCCCCCCCC)=O)(CO[P](=O)(O)OCCN)OC(CCCCCCCCCC)=O
InChI 1S/C27H54NO8P/c1-3-5-7-9-11-13-15-17-19-26(29)33-23-25(24-35-37(31,32)34-22-21-28)36-27(30)20-18-16-14-12-10-8-6-4-2/h25H,3-24,28H2,1-2H3,(H,31,32)/t25-/m1/s1
InChIKey ZWPYUJDPKPNXJG-RUZDIDTESA-N
Properties
Density 1.062g/cm3 (Cal.)
Boiling point 625.878°C at 760 mmHg (Cal.)
Flash point 332.319°C (Cal.)
Market Analysis Reports
Related Products
9,10-Ditritiohe...  N,N'-Di(Trityl)...  N,1-Ditritylhis...  1,3-Ditrityloxy...  3',5'-Di-O-trit...  2',5'-Ditritylu...  Ditryptophenali...  Ditungsten Pent...  L,L-Dityrosine ...  Diumycin  Diundecylbenzen...  Di-n-Undecyldis...  Diundecyl phtha...  Diundecyl Phtha...  Diundecyl Sebac...  Di-n-Undecyl Su...  N,N-Diundecyl-1...  Diureidoacetic ...  Diuron;3-(3,4-D...  Diuronium Oxala...