Online Database of Chemicals from Around the World

Chloroorienticin C
[CAS 118373-82-3]

Suppliers
CAS#: 118373-82-3
Product: Chloroorienticin C
No suppilers available for the product.
Identification
Name Chloroorienticin C
Synonyms Vancomycin, 22-O-(3-Amino-2,3,6-Trideoxy-3-C-Methyl-Alpha-L-Arabino-Hexopyranosyl)-14-O-De(2-O-(3-Amino-2,3,6-Trideoxy-3-C-Methyl-Alpha-L-Arabino-Hexopyranosyl)-Beta-D-Glucopyranosyl)-
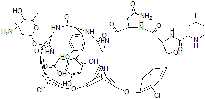
Molecular Structure CAS#: 118373-82-3, Chloroorienticin C
Molecular Formula C60H65Cl2N9O19
Molecular Weight 1287.13
CAS Registry Number 118373-82-3
SMILES C6=C5C(NC(C3C(C1=CC=C(C(=C1)Cl)OC2=C(C7=CC(=C2)C(C(NC(C(N3)=O)C4=CC=C(C(=C4)C5=C(C=C6O)O)O)=O)NC(C(NC(C(C(O)C8=CC(=C(O7)C=C8)Cl)NC(C(CC(C)C)NC)=O)=O)CC(N)=O)=O)O)OC9CC(C(O)C(O9)C)(C)N)=O)C(O)=O
InChI 1S/C60H65Cl2N9O19/c1-22(2)12-33(65-5)53(79)70-47-49(76)25-7-10-37(31(61)14-25)88-39-16-27-17-40(50(39)77)89-38-11-8-26(15-32(38)62)51(90-42-21-60(4,64)52(78)23(3)87-42)48-58(84)69-46(59(85)86)30-18-28(72)19-36(74)43(30)29-13-24(6-9-35(29)73)44(55(81)71-48)68-56(82)45(27)67-54(80)34(20-41(63)75)66-57(47)83/h6-11,13-19,22-23,33-34,42,44-49,51-52,65,72-74,76-78H,12,20-21,64H2,1-5H3,(H2,63,75)(H,66,83)(H,67,80)(H,68,82)(H,69,84)(H,70,79)(H,71,81)(H,85,86)
InChIKey CHSINQSLUWRGER-UHFFFAOYSA-N
Properties
Density 1.624g/cm3 (Cal.)
Market Analysis Reports
Related Products
2-[(8-Chlorooct...  3-Chloro-1-(4-o...  [(2-Chlorooctyl...  5-Chloro-2-Octy...  8-Chloro-1-Octy...  1-Chloro-2-Octy...  1-Chloro-4-Octy...  1-Chloro-3-Octy...  4-(3-Chloro(or ...  Chloroorientici...  Chloroorientici...  Chloroorientici...  5-Chloroorthani...  2-Chloro-1-[(1R...  3-Chloro-8-oxab...  2-Chloro-1,3,2-...  2-Chloro-1-(1,2...  3-Chloro-1,2-ox...  2-Chlorooxazole...  3-Chloro-1,2-Ox...