Online Database of Chemicals from Around the World

2-Methyl-2-Propanyl Methyl(4-Oxobutyl)Carbamate
[CAS 120984-59-0]

Suppliers
Achemica Switzerland
+41 (24) 466-2929
contact@achemica.com
Chemical manufacturer since 2010
Identification
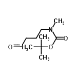
Name 2-Methyl-2-Propanyl Methyl(4-Oxobutyl)Carbamate
Synonyms tert-butyl3-formylpropylmethylcarbamate
Molecular Structure CAS#: 120984-59-0, 2-Methyl-2-Propanyl Methyl(4-Oxobutyl)Carbamate
Molecular Formula C10H19NO3
Molecular Weight 201.26
CAS Registry Number 120984-59-0
SMILES CN(CCCC=O)C(=O)OC(C)(C)C
InChI 1S/C10H19NO3/c1-10(2,3)14-9(13)11(4)7-5-6-8-12/h8H,5-7H2,1-4H3
InChIKey VSKKUZCPADUNJU-UHFFFAOYSA-N
Properties
Density 0.998g/cm3 (Cal.)
Boiling point 276.613°C at 760 mmHg (Cal.)
Flash point 121.091°C (Cal.)
Refractive index 1.448 (Cal.)
Market Analysis Reports
Related Products
2-Methyl-2-Prop...  2-Methyl-2-Prop...  2-Methyl-2-Prop...  2-Methyl-2-Prop...  2-Methyl-2-Prop...  2-Methyl-2-prop...  2-Methyl-2-Prop...  2-Methyl-2-Prop...  2-Methyl-2-Prop...  2-Methyl-2-Prop...  2-Methyl-2-Prop...  2-Methyl-2-Prop...  2-Methyl-2-Prop...  2-Methyl-2-prop...  2-Methyl-2-prop...  2-Methyl-2-Prop...  2-Methyl-2-Prop...  2-Methyl-2-Prop...  2-Methyl-2-Prop...  2-Methyl-2-prop...