Online Database of Chemicals from Around the World

2-L-Alanine-3-L-Alanine-5-L-Alanine-6-(2-Methylalanine)-9-L-Leucine-18-L-Glutamine-Alamethicin I
[CAS 121689-07-4]

Suppliers
CAS#: 121689-07-4
Product: 2-L-Alanine-3-L-Alanine-5-L-Alanine-6-(2-Methylalanine)-9-L-Leucine-18-L-Glutamine-Alamethicin I
No suppilers available for the product.
Identification
Name 2-L-Alanine-3-L-Alanine-5-L-Alanine-6-(2-Methylalanine)-9-L-Leucine-18-L-Glutamine-Alamethicin I
Synonyms Trichosporin B-Iiic
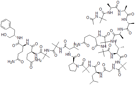
Molecular Structure CAS#: 121689-07-4, 2-L-Alanine-3-L-Alanine-5-L-Alanine-6-(2-Methylalanine)-9-L-Leucine-18-L-Glutamine-Alamethicin I
Molecular Formula C90H149N23O24
Molecular Weight 1937.31
CAS Registry Number 121689-07-4
SMILES [C@@H](CC)(C)[C@H](NC(=O)C(C)(C)NC(=O)[C@H](CCC(N)=O)NC(=O)C(C)(C)NC(=O)[C@H](C)NC(=O)[C@H](C)NC(=O)[C@H](C)NC(=O)[C@H](C)NC(=O)C(C)(C)NC(C)=O)C(=O)NC(C)(C)C(=O)NCC(=O)N[C@@H](CC(C)C)C(=O)NC(C)(C)C(=O)N1CCC[C@H]1C(=O)N[C@@H](C(C)C)C(=O)NC(C)(C)C(=O)NC(C)(C)C(=O)N[C@@H](CCC(N)=O)C(=O)N[C@@H](CCC(N)=O)C(=O)N[C@H](CO)CC2=CC=CC=C2
InChI 1S/C90H149N23O24/c1-26-47(6)65(105-81(135)87(18,19)108-72(126)57(36-39-62(93)118)103-79(133)86(16,17)107-69(123)51(10)97-67(121)49(8)95-66(120)48(7)96-68(122)50(9)98-78(132)85(14,15)106-52(11)115)76(130)111-84(12,13)77(131)94-43-63(119)100-58(41-45(2)3)73(127)109-90(24,25)83(137)113-40-30-33-59(113)74(128)104-64(46(4)5)75(129)110-89(22,23)82(136)112-88(20,21)80(134)102-56(35-38-61(92)117)71(125)101-55(34-37-60(91)116)70(124)99-54(44-114)42-53-31-28-27-29-32-53/h27-29,31-32,45-51,54-59,64-65,114H,26,30,33-44H2,1-25H3,(H2,91,116)(H2,92,117)(H2,93,118)(H,94,131)(H,95,120)(H,96,122)(H,97,121)(H,98,132)(H,99,124)(H,100,119)(H,101,125)(H,102,134)(H,103,133)(H,104,128)(H,105,135)(H,106,115)(H,107,123)(H,108,126)(H,109,127)(H,110,129)(H,111,130)(H,112,136)/t47-,48-,49-,50-,51-,54-,55-,56-,57-,58-,59-,64-,65-/m0/s1
InChIKey NMJOEBWZMYWVIQ-RDOSJKPVSA-N
Market Analysis Reports
Related Products
D-Alanine, [1-1...  L-Alanine;L-2-A...  D-Alanine-2-D1  Beta-alanine;3-...  L-Alanine;2-Ami...  Alanine-15N;Ala...  L-Alanine-D7  BOC-D-Alanine;N...  Fmoc-D-alanine;...  DL-Alanine-2,3,...  2-L-Alanine-3-L...  2-L-Alanine-3-L...  2-L-Alanine-3-L...  2-L-Alanine-3-L...  beta-Alanine Am...  Boc-L-alanine a...  H-beta-Alanine ...  L-Alanine 7-ami...  b-Alanine, N-(2...  Alanine benzyl ...