Online Database of Chemicals from Around the World

Fumonisin B1-13C34
[CAS 1217458-62-2]

List of Suppliers
Sigma-Aldrich, Inc. China
www.sigmaaldrich.com
+86 (21) 6141-5566
800-819-3336
orderCN@sial.com
Chemical manufacturer since 1992
chemBlink Standard supplier since 2013

Identification
ClassificationAnalytical chemistry >> Standard >> Food and cosmetics standards
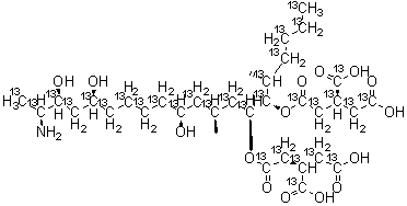
NameFumonisin B1-<sup>13</sup>C<sub>34</sub>
Molecular StructureFumonisin B1-<sup>13</sup>C<sub>34</sub> molecular structure (CAS 1217458-62-2)
Molecular FormulaC34H59NO15
Molecular Weight721.83
CAS Registry Number1217458-62-2
EC Number808-555-8
Safety Data
Hazard Classification
up    Details
HazardClassCategory CodeHazard Statement
CarcinogenicityCarc.2H351
Market Analysis Reports
Related Products
Fumigacin  Fumigaclavine A  Fumigatin  Fumitremorgin A  Fumitremorgin B  Fumitremorgin C  Fumonisin B1  Fumonisin B2  Fumonisin A2  Fumonisin A1  Fumonisin B3  Fumoxicillin  Funabent  beta-Funaltrexa...  beta-Funaltrexa...  Funapide  Functional Soya...  (+)-alpha-Funeb...  (+)-beta-Funebr...  Fungal amylase