Online Database of Chemicals from Around the World

2-Methyl-2-Propanyl [2-(Isopropylsulfanyl)Ethyl]Carbamate
[CAS 124073-15-0]

Suppliers
Achemica Switzerland
+41 (24) 466-2929
contact@achemica.com
Chemical manufacturer since 2010
Atomax Chemicals Co., Ltd. China
+86 13417589054/
info@atomaxchem.com,atomax.chemicals@gmail.com
QQ Chat
Chemical manufacturer
Identification
Name 2-Methyl-2-Propanyl [2-(Isopropylsulfanyl)Ethyl]Carbamate
Synonyms tert-butyl (2-(isopropylthio)ethyl)carbamate
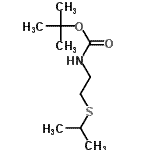
Molecular Structure CAS#: 124073-15-0, 2-Methyl-2-Propanyl [2-(Isopropylsulfanyl)Ethyl]Carbamate
Molecular Formula C10H21NO2S
Molecular Weight 219.34
CAS Registry Number 124073-15-0
SMILES CC(C)(C)OC(=O)NCCSC(C)C
InChI 1S/C10H21NO2S/c1-8(2)14-7-6-11-9(12)13-10(3,4)5/h8H,6-7H2,1-5H3,(H,11,12)
InChIKey PJTWPKBONLYELA-UHFFFAOYSA-N
Properties
Density 0.996g/cm3 (Cal.)
Boiling point 310.616°C at 760 mmHg (Cal.)
Flash point 141.656°C (Cal.)
Refractive index 1.471 (Cal.)
Market Analysis Reports
Related Products
2-Methyl-2-Prop...  2-Methyl-2-Prop...  2-Methyl-2-Prop...  2-Methyl-2-Prop...  2-Methyl-2-prop...  2-Methyl-2-prop...  2-Methyl-2-Prop...  2-Methyl-2-Prop...  2-Methyl-2-Prop...  2-Methyl-2-prop...  2-Methyl-2-prop...  2-Methyl-2-Prop...  2-Methyl-2-Prop...  2-Methyl-2-Prop...  2-Methyl-2-Prop...  2-Methyl-2-Prop...  2-Methyl-2-prop...  2-Methyl-2-prop...  (2-Methyl-2-Pro...  2-Methyl-2-prop...