Online Database of Chemicals from Around the World

3-Tolylacetyl-coenzyme A
[CAS 124900-43-2]

Suppliers
CAS#: 124900-43-2
Product: 3-Tolylacetyl-coenzyme A
No suppilers available for the product.
Identification
Name 3-Tolylacetyl-coenzyme A
Synonyms S-[2-[3-[[(2R)-4-[[[(2R,3S,4R,5R)-5-(6-Aminopurin-9-Yl)-4-Hydroxy-3-Phosphonooxy-Tetrahydrofuran-2-Yl]Methoxy-Hydroxy-Phosphoryl]Oxy-Hydroxy-Phosphoryl]Oxy-2-Hydroxy-3,3-Dimethyl-Butanoyl]Amino]Propanoylamino]Ethyl] 2-(3-Methylphenyl)Ethanethioate; 2-(3-Methylphenyl)Ethanethioic Acid S-[2-[[3-[[(2R)-4-[[[(2R,3S,4R,5R)-5-(6-Amino-9-Purinyl)-4-Hydroxy-3-Phosphonooxy-2-Tetrahydrofuranyl]Methoxy-Hydroxyphosphoryl]Oxy-Hydroxyphosphoryl]Oxy-2-Hydroxy-3,3-Dimethyl-1-Oxobutyl]Amino]-1-Oxopropyl]Amino]Ethyl] Ester; 2-(3-Methylphenyl)Ethanethioic Acid S-[2-[3-[[(2R)-4-[[[(2R,3S,4R,5R)-5-(6-Aminopurin-9-Yl)-4-Hydroxy-3-Phosphonooxy-Tetrahydrofuran-2-Yl]Methoxy-Hydroxy-Phosphoryl]Oxy-Hydroxy-Phosphoryl]Oxy-2-Hydroxy-3,3-Dimethyl-Butanoyl]Amino]Propanoylamino]Ethyl] Ester
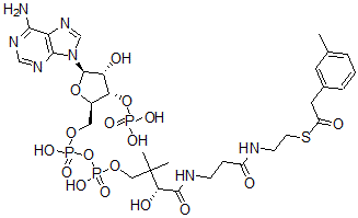
Molecular Structure CAS#: 124900-43-2, 3-Tolylacetyl-coenzyme A
Molecular Formula C30H44N7O17P3S
Molecular Weight 899.70
CAS Registry Number 124900-43-2
SMILES [C@H]1(O[C@@H]([C@@H](O[P](=O)(O)O)[C@H]1O)CO[P](O[P](OCC([C@@H](O)C(=O)NCCC(=O)NCCSC(=O)CC2=CC(=CC=C2)C)(C)C)(=O)O)(=O)O)[N]3C4=C(N=C3)C(=NC=N4)N
InChI 1S/C30H44N7O17P3S/c1-17-5-4-6-18(11-17)12-21(39)58-10-9-32-20(38)7-8-33-28(42)25(41)30(2,3)14-51-57(48,49)54-56(46,47)50-13-19-24(53-55(43,44)45)23(40)29(52-19)37-16-36-22-26(31)34-15-35-27(22)37/h4-6,11,15-16,19,23-25,29,40-41H,7-10,12-14H2,1-3H3,(H,32,38)(H,33,42)(H,46,47)(H,48,49)(H2,31,34,35)(H2,43,44,45)/t19-,23-,24-,25+,29-/m1/s1
InChIKey NKSKBWZEZMJLSI-FUEUKBNZSA-N
Properties
Density 1.768g/cm3 (Cal.)
Market Analysis Reports
Related Products
m-Toluylic Acid...  Tolvaptan;N-[4-...  (S)-(-)-Tolvapt...  (R)-(+)-Tolvapt...  Tolvaptan Sodiu...  Tolycaine;Methy...  p-Tolylacetalde...  Tolyl Acetate;A...  p-Tolyl acetate...  p-Tolyl-Acetyl ...  2-Tolylacetyl-c...  4-Tolylacetyl-c...  1-(4-Tolyl)-3-A...  p-Tolylamino-Ac...  N-[3-[(m-Tolyl)...  4-[(Tolyl)Amino...  4-p-Tolylamino-...  m-Tolyl 4-[(1-A...  o-Tolyl 4-[(1-A...  4-[(p-tolylamin...