Online Database of Chemicals from Around the World

Syringostatin A
[CAS 125051-66-3]

Suppliers
CAS#: 125051-66-3
Product: Syringostatin A
No suppilers available for the product.
Identification
Name Syringostatin A
Synonyms 2-[(9Z)-21,24-Bis(2-Aminoethyl)-15-(3-Aminopropyl)-3-(2-Chloro-1-Hydroxy-Ethyl)-9-Ethylidene-12-(1-Hydroxyethyl)-18-(2-Hydroxyethyl)-27-(3-Hydroxytetradecanoylamino)-2,5,8,11,14,17,20,23,26-Nonaoxo-1-Oxa-4,7,10,13,16,19,22,25-Octazacyclooctacos-6-Yl]-2-Hydroxy-Acetic Acid; 2-[(9Z)-21,24-Bis(2-Aminoethyl)-15-(3-Aminopropyl)-3-(2-Chloro-1-Hydroxyethyl)-9-Ethylidene-12-(1-Hydroxyethyl)-18-(2-Hydroxyethyl)-27-[(3-Hydroxy-1-Oxotetradecyl)Amino]-2,5,8,11,14,17,20,23,26-Nonaoxo-1-Oxa-4,7,10,13,16,19,22,25-Octazacyclooctacos-6-Yl]-2-Hydroxyacetic Acid; 2-[(9Z)-21,24-Bis(2-Aminoethyl)-15-(3-Aminopropyl)-3-(2-Chloro-1-Hydroxy-Ethyl)-9-Ethylidene-12-(1-Hydroxyethyl)-18-(2-Hydroxyethyl)-27-(3-Hydroxytetradecanoylamino)-2,5,8,11,14,17,20,23,26-Nonaketo-1-Oxa-4,7,10,13,16,19,22,25-Octazacyclooctacos-6-Yl]-2-Hydroxy-Acetic Acid
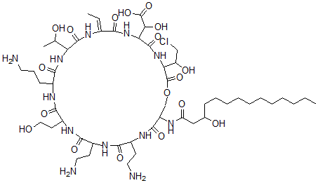
Molecular Structure CAS#: 125051-66-3, Syringostatin A
Molecular Formula C50H87ClN12O18
Molecular Weight 1179.76
CAS Registry Number 125051-66-3
SMILES C(C(NC1C(NC(C(NC(CCN)C(NC(C(NC(C(NC(C(NC(\C(NC(C(NC(C(OC1)=O)C(O)CCl)=O)C(C(=O)O)O)=O)=C/C)=O)C(O)C)=O)CCCN)=O)CCO)=O)=O)CCN)=O)=O)C(O)CCCCCCCCCCC
InChI 1S/C50H87ClN12O18/c1-4-6-7-8-9-10-11-12-13-15-28(66)24-36(68)55-34-26-81-50(80)38(35(67)25-51)62-48(77)39(40(69)49(78)79)63-41(70)29(5-2)56-47(76)37(27(3)65)61-45(74)30(16-14-20-52)57-44(73)33(19-23-64)60-43(72)31(17-21-53)58-42(71)32(18-22-54)59-46(34)75/h5,27-28,30-35,37-40,64-67,69H,4,6-26,52-54H2,1-3H3,(H,55,68)(H,56,76)(H,57,73)(H,58,71)(H,59,75)(H,60,72)(H,61,74)(H,62,77)(H,63,70)(H,78,79)/b29-5-
InChIKey SOKGGVHELUKAFO-SDYNXESYSA-N
Properties
Density 1.371g/cm3 (Cal.)
Boiling point 1608.083°C at 760 mmHg (Cal.)
Flash point 926.335°C (Cal.)
Market Analysis Reports
Related Products
(-)-Syringaresi...  (-)-Syringaresn...  Syringetin;3,5,...  Syringetin-3-Ga...  Syringetin-3-Gl...  Syringetin-3-O-...  Syringic acid;4...  Syringin;Syring...  Syringin pentaa...  Syringopicrosid...  Syringotoxin B;...  5''-O-Syringoyl...  6-O-Syringylaju...  Syrosingopine;L...  Syrups hydrolyz...  Syrups, hydroly...  SYUIQ-5  Syzalterin;6,8-...  Szechenyine;3-A...  T 0070907;2-Chl...