Online Database of Chemicals from Around the World

1-beta-Arabinofuranosylcytosine 5'-diphosphate-1-octadecyl-2-O-palmitoyl-1-thioglycerol disodium salt
[CAS 125592-28-1]

Suppliers
CAS#: 125592-28-1
Product: 1-beta-Arabinofuranosylcytosine 5'-diphosphate-1-octadecyl-2-O-palmitoyl-1-thioglycerol disodium salt
No suppilers available for the product.
Identification
Name 1-beta-Arabinofuranosylcytosine 5'-diphosphate-1-octadecyl-2-O-palmitoyl-1-thioglycerol disodium salt
Synonyms Disodium [(2R,3S,4S,5R)-5-(4-Amino-2-Oxo-Pyrimidin-1-Yl)-3,4-Dihydroxy-Tetrahydrofuran-2-Yl]Methoxy-[(2-Hexadecanoyloxy-3-Octadecylsulfanyl-Propoxy)-Hydroxy-Oxido-Phosphaniumyl]Oxy-Phosphinic Acid; Disodium [(2R,3S,4S,5R)-5-(4-Amino-2-Oxo-1-Pyrimidinyl)-3,4-Dihydroxy-2-Tetrahydrofuranyl]Methoxy-[Hydroxy-[3-(Octadecylthio)-2-(1-Oxohexadecoxy)Propoxy]-Oxidophosphaniumyl]Oxyphosphinic Acid; Disodium [(2R,3S,4S,5R)-5-(4-Amino-2-Keto-Pyrimidin-1-Yl)-3,4-Dihydroxy-Tetrahydrofuran-2-Yl]Methoxy-[[2-Hexadecanoyloxy-3-(Stearylthio)Propoxy]-Hydroxy-Oxido-Phosphaniumyl]Oxy-Phosphinic Acid
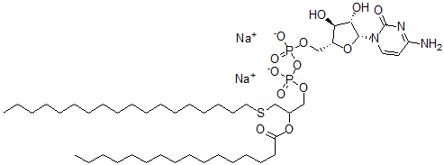
Molecular Structure CAS#: 125592-28-1, 1-beta-Arabinofuranosylcytosine 5'-diphosphate-1-octadecyl-2-O-palmitoyl-1-thioglycerol disodium salt
Molecular Formula C46H87N3Na2O13P2S
Molecular Weight 1030.19
CAS Registry Number 125592-28-1
SMILES [C@H]1(O[C@@H]([C@@H](O)[C@@H]1O)CO[P](O[P](OCC(OC(=O)CCCCCCCCCCCCCCC)CSCCCCCCCCCCCCCCCCCC)(=O)O)(=O)O)N2C(=O)N=C(N)C=C2.[Na+].[Na+]
InChI 1S/C46H87N3O13P2S.2Na/c1-3-5-7-9-11-13-15-17-18-19-21-23-25-27-29-31-35-65-38-39(60-42(50)32-30-28-26-24-22-20-16-14-12-10-8-6-4-2)36-58-63(54,55)62-64(56,57)59-37-40-43(51)44(52)45(61-40)49-34-33-41(47)48-46(49)53;;/h33-34,39-40,43-45,51-52H,3-32,35-38H2,1-2H3,(H,54,55)(H,56,57)(H2,47,48,53);;/q;2*+1/t39?,40-,43-,44+,45-;;/m1../s1
InChIKey IOJAKVFOYVOQAC-YOCDIIJISA-N
Market Analysis Reports
Related Products
S-(5-(9-Arabino...  9-Arabinofurano...  1-Arabinofurano...  (E)-1-beta-D-Ar...  1-beta-D-Arabin...  3-O-Arabinofura...  1 beta-D-Arabin...  1 beta-Arabinof...  1 beta-D-Arabin...  1-beta-D-Arabin...  1-beta-D-Arabin...  9-beta-D-Arabin...  1-beta-Arabinof...  9--D-Arabinofur...  1-beta-D-Arabin...  9-beta-D-Arabin...  1-beta-D-Arabin...  9-beta-D-Arabin...  1-(alpha-D-Arab...  1-beta-D-Arabin...