Online Database of Chemicals from Around the World

1-(2-Methyl-2-Propanyl)-3,3-Dinitroazetidine
[CAS 125735-38-8]

Suppliers
CAS#: 125735-38-8
Product: 1-(2-Methyl-2-Propanyl)-3,3-Dinitroazetidine
No suppilers available for the product.
Identification
Name 1-(2-Methyl-2-Propanyl)-3,3-Dinitroazetidine
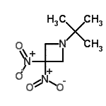
Molecular Structure CAS#: 125735-38-8, 1-(2-Methyl-2-Propanyl)-3,3-Dinitroazetidine
Molecular Formula C7H13N3O4
Molecular Weight 203.20
CAS Registry Number 125735-38-8
SMILES O=[N+]([O-])C1([N+]([O-])=O)CN(C(C)(C)C)C1
InChI 1S/C7H13N3O4/c1-6(2,3)8-4-7(5-8,9(11)12)10(13)14/h4-5H2,1-3H3
InChIKey YNVDAIOEJHCEQA-UHFFFAOYSA-N
Properties
Density 1.286g/cm3 (Cal.)
Boiling point 302.077°C at 760 mmHg (Cal.)
Flash point 136.492°C (Cal.)
Refractive index 1.524 (Cal.)
Market Analysis Reports
Related Products
2-Methyl-2-Prop...  2-Methyl-2-prop...  2-Methyl-2-Prop...  2-Methyl-2-Prop...  2-Methyl-2-Prop...  2-Methyl-2-Prop...  2-Methyl-2-Prop...  2-Methyl-2-Prop...  2-Methyl-2-Prop...  4-(2-Methyl-2-P...  N-[4-(2-Methyl-...  3-(2-Methyl-2-p...  2-Methyl-2-Prop...  2-Methyl-2-Prop...  2-Methyl-2-Prop...  2-Methyl-2-prop...  2-Methyl-2-Prop...  2-Methyl-2-prop...  2-Methyl-2-Prop...  2-(2-Methyl-2-P...