Online Database of Chemicals from Around the World

Thiopeptin
[CAS 12609-84-6]

Suppliers
CAS#: 12609-84-6
Product: Thiopeptin
No suppilers available for the product.
Identification
Name Thiopeptin
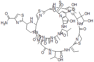
Molecular Structure CAS#: 12609-84-6, Thiopeptin
Molecular Formula C65H79N17O15S6
Molecular Weight 1530.80
CAS Registry Number 12609-84-6
SMILES N1=C4SC=C1C(=O)NC(C(=O)N\C(C%10=NC(C(=O)NC(C2=NC(=CS2)C(=S)NC7C3=NC(=CS3)C5NC(CCC45NC(=O)C(NC(=O)C(NC(=O)C(NC(=O)C(NC8C(O)C6=C(C(=CC(=N6)C(OC7C)=O)C(O)C)C=C8)C(C)C)C)=C)C)C9=NC(=CS9)C(=O)N)C(O)(C(O)C)C)CS%10)=C\C)C(O)C
InChI 1S/C65H79N17O15S6/c1-12-33-58-76-39(20-100-58)54(92)81-48(64(11,96)30(10)85)61-77-41(22-102-61)57(98)80-44-29(9)97-62(95)36-17-32(27(7)83)31-13-14-34(46(86)45(31)71-36)70-42(23(2)3)55(93)69-25(5)51(89)67-24(4)50(88)68-26(6)52(90)82-65(63-78-40(21-103-63)53(91)79-43(28(8)84)56(94)73-33)16-15-35(59-75-38(19-99-59)49(66)87)72-47(65)37-18-101-60(44)74-37/h12-14,17-19,21-23,25-30,34-35,39,42-44,46-48,70,72,83-86,96H,4,15-16,20H2,1-3,5-11H3,(H2,66,87)(H,67,89)(H,68,88)(H,69,93)(H,73,94)(H,79,91)(H,80,98)(H,81,92)(H,82,90)/b33-12+
InChIKey SRTDKHGZQCTGBY-RVDKCFQWSA-N
Properties
Density 1.68g/cm3 (Cal.)
Market Analysis Reports
Related Products
(Thionitroso)fo...  Thionyl bromide...  Thionyl chlorid...  Thionyl Fluorid...  Thiooctanoic ac...  2-Thiooxamic ac...  Thiopalmitic Ac...  R-(+)-Thiopenta...  S-(-)-Thiopenta...  Thiopental sodi...  Thiopeptin A  Thiopeptin B;Ta...  Thioperoxydipho...  Thiophanate;Thi...  Thiophanate-met...  3-Thiophenamine...  2-Thiophenamine...  3-Thiophenamine...  2-Thiophenamine...  Thiophen-3-amin...