Online Database of Chemicals from Around the World

Threonyl-tyrosyl-isoleucyl-cysteinyl-glutamyl-valyl-glutamyl-aspartyl-glutaminyl-lysyl-glutamyl-glutamic acid
[CAS 126144-46-5]

Suppliers
CAS#: 126144-46-5
Product: Threonyl-tyrosyl-isoleucyl-cysteinyl-glutamyl-valyl-glutamyl-aspartyl-glutaminyl-lysyl-glutamyl-glutamic acid
No suppilers available for the product.
Identification
Name Threonyl-tyrosyl-isoleucyl-cysteinyl-glutamyl-valyl-glutamyl-aspartyl-glutaminyl-lysyl-glutamyl-glutamic acid
Synonyms Cd4(81-92); L-Glutamic Acid, N-(N-(N2-(N2-(N-(N-(N-(N-(N-(N-(N-L-Threonyl-L-Tyrosyl)-L-Isoleucyl)-L-Cysteinyl)-L-Alpha-Glutamyl)-L-Valyl)-L-Alpha-Glutamyl)-L-Alpha-Aspartyl)-L-Glutaminyl)-L-Lysyl)-L-Alpha-Glutamyl)-; N-(N-(N2-(N2-(N-(N-(N-(N-(N-(N-(N-L-Threonyl-L-Tyrosyl)-L-Isoleucyl)-L-Cysteinyl)-L-Alpha-Glutamyl)-L-Valyl)-L-Alpha-Glutamyl)-L-Alpha-Aspartyl)-L-Glutaminyl)-L-Lysyl)-L-Alpha-Glutamyl)-L-Glutamic Acid
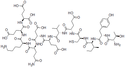
Molecular Structure CAS#: 126144-46-5, Threonyl-tyrosyl-isoleucyl-cysteinyl-glutamyl-valyl-glutamyl-aspartyl-glutaminyl-lysyl-glutamyl-glutamic acid
Molecular Formula C62H96N14O26S
Molecular Weight 1485.58
CAS Registry Number 126144-46-5
SMILES [C@@H](C(C)C)(NC(=O)[C@@H](NC([C@@H](NC([C@@H](NC([C@H](CC1=CC=C(C=C1)O)NC([C@H]([C@@H](C)O)N)=O)=O)[C@H](CC)C)=O)CS)=O)CCC(O)=O)C(=O)N[C@@H](CCC(O)=O)C(=O)N[C@@H](CC(O)=O)C(=O)N[C@@H](CCC(N)=O)C(=O)N[C@H](C(N[C@H](C(N[C@@H](CCC(O)=O)C(O)=O)=O)CCC(O)=O)=O)CCCCN
InChI 1S/C62H96N14O26S/c1-6-29(4)50(76-57(96)39(73-59(98)48(65)30(5)77)25-31-10-12-32(78)13-11-31)61(100)74-41(27-103)58(97)69-37(17-22-45(84)85)55(94)75-49(28(2)3)60(99)70-36(16-21-44(82)83)54(93)72-40(26-47(88)89)56(95)68-34(14-19-42(64)79)52(91)66-33(9-7-8-24-63)51(90)67-35(15-20-43(80)81)53(92)71-38(62(101)102)18-23-46(86)87/h10-13,28-30,33-41,48-50,77-78,103H,6-9,14-27,63,65H2,1-5H3,(H2,64,79)(H,66,91)(H,67,90)(H,68,95)(H,69,97)(H,70,99)(H,71,92)(H,72,93)(H,73,98)(H,74,100)(H,75,94)(H,76,96)(H,80,81)(H,82,83)(H,84,85)(H,86,87)(H,88,89)(H,101,102)/t29-,30+,33-,34-,35-,36-,37-,38-,39-,40-,41-,48-,49-,50-/m0/s1
InChIKey AZDASIIAIPAELA-UCEFLIQFSA-N
Properties
Density 1.387g/cm3 (Cal.)
Boiling point 1931.7°C at 760 mmHg (Cal.)
Flash point 1122.1°C (Cal.)
Market Analysis Reports
Related Products
L-Threonylglyci...  L-Threonylglycy...  L-Threonylglycy...  L-Threonylglycy...  Threonyl-Lysyl-...  N-(Threonyl-lys...  Threonyl-methio...  Threonyl-methio...  D-Threonyl-L-se...  N-[N2-[N-[N2-[N...  L-Threonyl-L-ly...  L-Threonyl-L-Ly...  L-Threonyl-L-ly...  L-Threonyl-L-ly...  L-Threonyl-L-me...  L-Threonyl-L-me...  L-Threonyl-L-ph...  L-Threonyl-L-Ph...  L-Threonyl-L-Ph...  L-Threonyl-L-Ph...