Online Database of Chemicals from Around the World

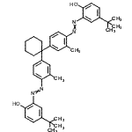
2,2'-{1,1-Cyclohexanediylbis[(2-Methyl-4,1-Phenylene)-2,1-Diazenediyl]}Bis[4-(2-Methyl-2-Propanyl)Phenol]
[CAS 12769-22-1]

Suppliers
Achemica Switzerland
+41 (24) 466-2929
contact@achemica.com
Chemical manufacturer since 2010
Identification
Name 2,2'-{1,1-Cyclohexanediylbis[(2-Methyl-4,1-Phenylene)-2,1-Diazenediyl]}Bis[4-(2-Methyl-2-Propanyl)Phenol]
Synonyms 2,2'-[cyclohexylidenebis[(2-methyl-4,1-phenylene)azo]]bis[4-tert-butylphenol]
Molecular Structure CAS#: 12769-22-1, 2,2'-{1,1-Cyclohexanediylbis[(2-Methyl-4,1-Phenylene)-2,1-Diazenediyl]}Bis[4-(2-Methyl-2-Propanyl)Phenol]
Molecular Formula C40H48N4O2
Molecular Weight 616.83
CAS Registry Number 12769-22-1
EINECS 235-810-5
SMILES CC(C)(C)c5cc(N=Nc1ccc(cc1C)C2(CCCCC2)c4cc(C)c(N=Nc3cc(ccc3O)C(C)(C)C)cc4)c(O)cc5
InChI 1S/C40H48N4O2/c1-26-22-30(12-16-32(26)41-43-34-24-28(38(3,4)5)14-18-36(34)45)40(20-10-9-11-21-40)31-13-17-33(27(2)23-31)42-44-35-25-29(39(6,7)8)15-19-37(35)46/h12-19,22-25,45-46H,9-11,20-21H2,1-8H3
InChIKey GDGMMJXIBFGSIP-UHFFFAOYSA-N
Properties
Density 1.111g/cm3 (Cal.)
Boiling point 757.523°C at 760 mmHg (Cal.)
Flash point 530.57°C (Cal.)
Refractive index 1.593 (Cal.)
Market Analysis Reports
Related Products
N,N'-(1R,2R)-1,...  (6Z,6'Z)-6,6'-{...  N,N'-(1R,2R)-1,...  [Cyclohexane-1,...  4,4'-cyclohexan...  4,4'-(1,3-Cyclo...  N,N'-(1R,2R)-1,...  N,N'-(1S,2S)-1,...  [(1R,2R)-1,2-Cy...  4,4'-(1,1-Cyclo...  alpha,alpha',al...  2,2′-[(1S,2S)-(...  2,2′-[(1R,2R)-1...  2,2'-{(1R,2R)-1...  2,2'-{(1S,2S)-1...  2,2'-[Cyclohexa...  N,N'-1,2-Cycloh...  N,N'-1,2-Cycloh...  1,1'-(1,4-Cyclo...  1,4-Cyclohexane...