Online Database of Chemicals from Around the World

[(3R,4R,5R,6S)-4,5-Dihydroxy-6-[(2R,3R,4S,5R)-2,3,4,5-Tetrahydroxy-6-Oxohexoxy]Oxan-3-Yl] (E)-3-(4-Hydroxy-3-Methoxyphenyl)Prop-2-Enoate
[CAS 129724-46-5]

Suppliers
CAS#: 129724-46-5
Product: [(3R,4R,5R,6S)-4,5-Dihydroxy-6-[(2R,3R,4S,5R)-2,3,4,5-Tetrahydroxy-6-Oxohexoxy]Oxan-3-Yl] (E)-3-(4-Hydroxy-3-Methoxyphenyl)Prop-2-Enoate
No suppilers available for the product.
Identification
Name [(3R,4R,5R,6S)-4,5-Dihydroxy-6-[(2R,3R,4S,5R)-2,3,4,5-Tetrahydroxy-6-Oxohexoxy]Oxan-3-Yl] (E)-3-(4-Hydroxy-3-Methoxyphenyl)Prop-2-Enoate
Synonyms [(3R,4R,5R,6S)-4,5-Dihydroxy-6-[(2R,3R,4S,5R)-2,3,4,5-Tetrahydroxy-6-Oxo-Hexoxy]Tetrahydropyran-3-Yl] (E)-3-(4-Hydroxy-3-Methoxy-Phenyl)Prop-2-Enoate; (E)-3-(4-Hydroxy-3-Methoxyphenyl)Prop-2-Enoic Acid [(3R,4R,5R,6S)-4,5-Dihydroxy-6-[(2R,3R,4S,5R)-2,3,4,5-Tetrahydroxy-6-Oxohexoxy]-3-Tetrahydropyranyl] Ester; (E)-3-(4-Hydroxy-3-Methoxy-Phenyl)Acrylic Acid [(3R,4R,5R,6S)-4,5-Dihydroxy-6-[(2R,3R,4S,5R)-2,3,4,5-Tetrahydroxy-6-Keto-Hexoxy]Tetrahydropyran-3-Yl] Ester
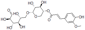
Molecular Structure CAS#: 129724-46-5, [(3R,4R,5R,6S)-4,5-Dihydroxy-6-[(2R,3R,4S,5R)-2,3,4,5-Tetrahydroxy-6-Oxohexoxy]Oxan-3-Yl] (E)-3-(4-Hydroxy-3-Methoxyphenyl)Prop-2-Enoate
Molecular Formula C21H28O13
Molecular Weight 488.44
CAS Registry Number 129724-46-5
SMILES [C@@H](C=O)(O)[C@@H](O)[C@H](O)[C@H](O)CO[C@@H]2[C@H](O)[C@@H](O)[C@H](OC(\C=C\C1=CC=C(C(=C1)OC)O)=O)CO2
InChI 1S/C21H28O13/c1-31-14-6-10(2-4-11(14)23)3-5-16(26)34-15-9-33-21(20(30)19(15)29)32-8-13(25)18(28)17(27)12(24)7-22/h2-7,12-13,15,17-21,23-25,27-30H,8-9H2,1H3/b5-3+/t12-,13+,15+,17+,18+,19-,20+,21-/m0/s1
InChIKey FOBCQSVMKGAIJG-AJHJGYGNSA-N
Properties
Density 1.559g/cm3 (Cal.)
Boiling point 838.706°C at 760 mmHg (Cal.)
Flash point 288.307°C (Cal.)
Market Analysis Reports
Related Products
1-(3,4-Dihydrox...  (5,6-Dihydroxy-...  [(2R,4R)-4,6-Di...  1,10B-Dihydroxy...  (1S,2S,10bS)-1,...  (1S,2S,10bR)-1,...  (1R,2R,10bS)-1,...  (10bS)-8,9-Dihy...  (6R,7S,7aR)-6,7...  (6R,7S,7aR)-6,7...  3',6'-Dihydroxy...  3',6'-Dihydroxy...  Dihydroxy[2,9,1...  1,5-Dihydroxy-2...  (4R,5S,6S,7R)-5...  5,5'-Dihydroxy-...  5,3'-Dihydroxy-...  5,7-Dihydroxy-6...  4',5-Dihydroxy-...  1,8-Dihydroxy-2...