Identification
| Name |
5-Cyclononadecyl-N-(1,3,4,5-Tetrahydroxynonadecan-2-Yl)Pentanamide |
| Synonyms |
5-Cyclononadecyl-N-[2,3,4-Trihydroxy-1-(Hydroxymethyl)Octadecyl]Pentanamide; 5-Cyclononadecyl-N-(2,3,4-Trihydroxy-1-Methylol-Octadecyl)Valeramide; Halyminine |
|
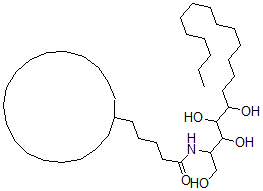
| Molecular Structure |
 |
| Molecular Formula |
C43H85NO5 |
| Molecular Weight |
696.15 |
| CAS Registry Number |
129780-95-6 |
| SMILES |
C(O)C(NC(=O)CCCCC1CCCCCCCCCCCCCCCCCC1)C(O)C(O)C(O)CCCCCCCCCCCCCC |
| InChI |
1S/C43H85NO5/c1-2-3-4-5-6-7-8-17-20-23-26-29-35-40(46)43(49)42(48)39(37-45)44-41(47)36-31-30-34-38-32-27-24-21-18-15-13-11-9-10-12-14-16-19-22-25-28-33-38/h38-40,42-43,45-46,48-49H,2-37H2,1H3,(H,44,47) |
| InChIKey |
FONCLYIDKHNFIL-UHFFFAOYSA-N |
|