Online Database of Chemicals from Around the World

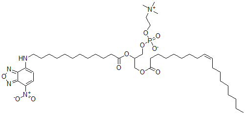
[2-[12-[(4-Nitro-2,1,3-Benzoxadiazol-7-Yl)Amino]Dodecanoyloxy]-3-[(Z)-Octadec-9-Enoyl]Oxypropyl] 2-Trimethylazaniumylethyl Phosphate
[CAS 131479-28-2]

Suppliers
CAS#: 131479-28-2
Product: [2-[12-[(4-Nitro-2,1,3-Benzoxadiazol-7-Yl)Amino]Dodecanoyloxy]-3-[(Z)-Octadec-9-Enoyl]Oxypropyl] 2-Trimethylazaniumylethyl Phosphate
No suppilers available for the product.
Identification
Name [2-[12-[(4-Nitro-2,1,3-Benzoxadiazol-7-Yl)Amino]Dodecanoyloxy]-3-[(Z)-Octadec-9-Enoyl]Oxypropyl] 2-Trimethylazaniumylethyl Phosphate
Synonyms [2-[12-[(4-Nitro-2,1,3-Benzoxadiazol-7-Yl)Amino]Dodecanoyloxy]-3-[(Z)-Octadec-9-Enoyl]Oxy-Propyl] 2-Trimethylammonioethyl Phosphate; [2-[12-[(4-Nitro-2,1,3-Benzoxadiazol-7-Yl)Amino]-1-Oxododecoxy]-3-[(Z)-1-Oxooctadec-9-Enoxy]Propyl] 2-Trimethylammonioethyl Phosphate; [2-[12-[(7-Nitrobenzofurazan-4-Yl)Amino]Dodecanoyloxy]-3-[(Z)-Octadec-9-Enoyl]Oxy-Propyl] 2-Trimethylammonioethyl Phosphate
Molecular Structure CAS#: 131479-28-2, [2-[12-[(4-Nitro-2,1,3-Benzoxadiazol-7-Yl)Amino]Dodecanoyloxy]-3-[(Z)-Octadec-9-Enoyl]Oxypropyl] 2-Trimethylazaniumylethyl Phosphate
Molecular Formula C44H76N5O11P
Molecular Weight 882.09
CAS Registry Number 131479-28-2
SMILES C2=C([N+]([O-])=O)C1=NON=C1C(=C2)NCCCCCCCCCCCC(OC(CO[P](OCC[N+](C)(C)C)([O-])=O)COC(=O)CCCCCCC\C=C/CCCCCCCC)=O
InChI 1S/C44H76N5O11P/c1-5-6-7-8-9-10-11-12-13-14-15-17-20-23-26-29-41(50)56-36-38(37-58-61(54,55)57-35-34-49(2,3)4)59-42(51)30-27-24-21-18-16-19-22-25-28-33-45-39-31-32-40(48(52)53)44-43(39)46-60-47-44/h12-13,31-32,38H,5-11,14-30,33-37H2,1-4H3,(H-,45,47,54,55)/b13-12-
InChIKey DLMNHXAJBHZYME-SEYXRHQNSA-N
Market Analysis Reports
Related Products
7-Nitro-2H-Benz...  1-(6-Nitrobenzo...  (S)-[2-(6-Nitro...  [(1S)-2-(6-Nitr...  [2-(6-Nitro-1H-...  2-Nitrobenzotri...  4-Nitrobenzotri...  3-Nitrobenzotri...  6-Nitro-2,1-Ben...  12-[(7-Nitro-2,...  2-[(7-Nitro-2,1...  5-(7-Nitrobenz-...  6-[(7-Nitro-2,1...  6-[(7-Nitro-2,1...  5-[(4-Nitro-2,1...  N2-[6-[(7-Nitro...  (7-Nitrobenz-2-...  2-[(4-Nitro-2,1...  3-[(4-Nitro-2,1...  N-(7-Nitro-2,1,...