Online Database of Chemicals from Around the World

Didesacetylphyllanthostatin 3
[CAS 132282-95-2]

Suppliers
CAS#: 132282-95-2
Product: Didesacetylphyllanthostatin 3
No suppilers available for the product.
Identification
Name Didesacetylphyllanthostatin 3
Synonyms [4,5-Dihydroxy-6-Methyl-3-(3,4,5-Trihydroxy-6-Methyl-Tetrahydropyran-2-Yl)Oxy-Tetrahydropyran-2-Yl] 3-Hydroxy-3-(Hydroxymethyl)-5'-Methyl-4'-[(E)-3-Phenylprop-2-Enoyl]Oxy-Spiro[3A,4,5,6,7,7A-Hexahydrobenzofuran-2,2'-Tetrahydropyran]-6-Carboxylate; 3-Hydroxy-3-(Hydroxymethyl)-5'-Methyl-4'-[(E)-1-Oxo-3-Phenylprop-2-Enoxy]-6-Spiro[3A,4,5,6,7,7A-Hexahydrobenzofuran-2,2'-Tetrahydropyran]Carboxylic Acid [4,5-Dihydroxy-6-Methyl-3-[(3,4,5-Trihydroxy-6-Methyl-2-Tetrahydropyranyl)Oxy]-2-Tetrahydropyranyl] Ester; 3-Hydroxy-5'-Methyl-3-Methylol-4'-[(E)-3-Phenylacryloyl]Oxy-Spiro[3A,4,5,6,7,7A-Hexahydrobenzofuran-2,2'-Tetrahydropyran]-6-Carboxylic Acid [4,5-Dihydroxy-6-Methyl-3-(3,4,5-Trihydroxy-6-Methyl-Tetrahydropyran-2-Yl)Oxy-Tetrahydropyran-2-Yl] Ester
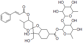
Molecular Structure CAS#: 132282-95-2, Didesacetylphyllanthostatin 3
Molecular Formula C36H50O16
Molecular Weight 738.78
CAS Registry Number 132282-95-2
SMILES C6=C(/C=C/C(OC1CC5(OCC1C)OC4CC(C(=O)OC3C(OC2C(C(C(C(O2)C)O)O)O)C(C(C(O3)C)O)O)CCC4C5(O)CO)=O)C=CC=C6
InChI 1S/C36H50O16/c1-17-15-46-36(14-24(17)49-25(38)12-9-20-7-5-4-6-8-20)35(45,16-37)22-11-10-21(13-23(22)52-36)32(44)51-34-31(29(42)27(40)19(3)48-34)50-33-30(43)28(41)26(39)18(2)47-33/h4-9,12,17-19,21-24,26-31,33-34,37,39-43,45H,10-11,13-16H2,1-3H3/b12-9+
InChIKey NFIKENQZHUEHDM-FMIVXFBMSA-N
Properties
Density 1.471g/cm3 (Cal.)
Boiling point 902.163°C at 760 mmHg (Cal.)
Flash point 277.091°C (Cal.)
Market Analysis Reports
Related Products
2',5'-Dideoxy-5...  2',3'-Dideoxy-5...  2',3'-Dideoxy-5...  1,2-Dideoxy-3,4...  2',5'-Dideoxyur...  2',3'-Dideoxyur...  2',3'-Dideoxyur...  2',3'-Dideoxyur...  2',3'-Dideoxyxa...  4,6-Dideoxy-alp...  2,6-Didesamino-...  Di-N-Desethylam...  Di(N-desethyl) ...  Didesethyl Chlo...  Didesethyl Chlo...  Didesethyl Chlo...  Didesethylflura...  Didesethylflura...  N,N-Didesethyl ...  Didesfluoro Neb...