Identification
| Name |
3-(((2-Phenoxyethoxy)imino)methyl)rifamycin |
| Synonyms |
2,7-(Epoxypentadeca(1,11,13)Trienimino)Naphtho(2,1-B)Furan-1,11(2H)-Dione, 3-Formyl-5,6,9,17,19,21-Hexahydroxy-23-Methoxy-2,4,12,16,18,20,22-Heptamethyl-, 21-Acetate, O-(2-Phenoxyethyl)Oxime; 3-(((2-Phenoxyethoxy)Imino)Methyl)Rifamycin; 3-Formylrifamycin Sv O-(2-Phenoxyethyl)Oxime |
|
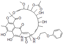
| Molecular Structure |
 |
| Molecular Formula |
C46H56N2O14 |
| Molecular Weight |
860.95 |
| CAS Registry Number |
132338-78-4 |
| SMILES |
C5=C(OCCON/C=C2/C(=O)C1=C3C(=C(C4=C1C(=O)C(O/C=C/C(OC)C(C(OC(=O)C)C(C(O)C(C(O)C(C)\C=C\C=C(C(=O)NC2=C3O)\C)C)C)C)(O4)C)C)O)C=CC=C5 |
| InChI |
1S/C46H56N2O14/c1-23-14-13-15-24(2)45(56)48-36-31(22-47-60-21-20-58-30-16-11-10-12-17-30)40(53)33-34(41(36)54)39(52)28(6)43-35(33)44(55)46(8,62-43)59-19-18-32(57-9)25(3)42(61-29(7)49)27(5)38(51)26(4)37(23)50/h10-19,22-23,25-27,32,37-38,42,47,50-52,54H,20-21H2,1-9H3,(H,48,56)/b14-13+,19-18+,24-15-,31-22+ |
| InChIKey |
UZNJSFSAWINKRS-ZKTARVBGSA-N |
|