Online Database of Chemicals from Around the World

L-Arginyl-L-arginyl-L-leucyl-L-leucyl-L-phenylalanyl-L-tyrosyl-L-lysyl-L-tyrosyl-L-valyl-L-tyrosyl-L-lysyl-L-arginyl-L-tyrosyl-L-arginyl-L-alanylglycyl-L-lysyl-L-glutaminyl-L-arginyl-Glycine
[CAS 132523-75-2]

Suppliers
CAS#: 132523-75-2
Product: L-Arginyl-L-arginyl-L-leucyl-L-leucyl-L-phenylalanyl-L-tyrosyl-L-lysyl-L-tyrosyl-L-valyl-L-tyrosyl-L-lysyl-L-arginyl-L-tyrosyl-L-arginyl-L-alanylglycyl-L-lysyl-L-glutaminyl-L-arginyl-Glycine
No suppilers available for the product.
Identification
Name L-Arginyl-L-arginyl-L-leucyl-L-leucyl-L-phenylalanyl-L-tyrosyl-L-lysyl-L-tyrosyl-L-valyl-L-tyrosyl-L-lysyl-L-arginyl-L-tyrosyl-L-arginyl-L-alanylglycyl-L-lysyl-L-glutaminyl-L-arginyl-Glycine
Synonyms Glycine, L-Arginyl-L-Arginyl-L-Leucyl-L-Leucyl-Lphenylalanyl-L-Tyrosyl-L-Lysyl-L-Tyrosyl-L-Valyl-L-Tyrosyl-L-Lysyl-L-Arginyl-L-Tyrosyl-L-Arginyl-L-Alanylglycyl-L-Lysyl-L-Glutaminyl-L-Arginyl-; Xip Peptide
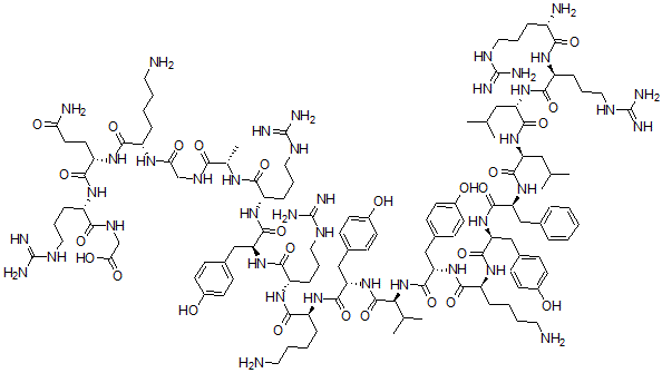
Molecular Structure CAS#: 132523-75-2, L-Arginyl-L-arginyl-L-leucyl-L-leucyl-L-phenylalanyl-L-tyrosyl-L-lysyl-L-tyrosyl-L-valyl-L-tyrosyl-L-lysyl-L-arginyl-L-tyrosyl-L-arginyl-L-alanylglycyl-L-lysyl-L-glutaminyl-L-arginyl-Glycine
Molecular Formula C122H193N39O26
Molecular Weight 2622.11
CAS Registry Number 132523-75-2
SMILES [C@@H](NC(=O)[C@@H](NC(=O)[C@@H](NC(=O)[C@@H](NC(=O)[C@@H](NC(=O)[C@@H](NC(=O)[C@@H](NC(=O)[C@@H](NC(=O)[C@@H](N)CCCNC(=N)N)CCCNC(=N)N)CC(C)C)CC(C)C)CC1=CC=CC=C1)CC2=CC=C(O)C=C2)CCCCN)CC3=CC=C(O)C=C3)(C(=O)N[C@H](C(=O)N[C@H](C(=O)N[C@H](C(=O)N[C@H](C(=O)N[C@H](C(=O)N[C@H](C(=O)NCC(=O)N[C@H](C(=O)N[C@H](C(=O)N[C@H](C(=O)NCC(=O)O)CCCNC(=N)N)CCC(=O)N)CCCCN)C)CCCNC(=N)N)CC4=CC=C(O)C=C4)CCCNC(=N)N)CCCCN)CC5=CC=C(O)C=C5)C(C)C
InChI 1S/C122H193N39O26/c1-67(2)58-89(154-107(177)86(30-20-56-141-121(134)135)147-101(171)80(126)24-17-53-138-118(128)129)110(180)155-90(59-68(3)4)111(181)158-91(60-71-22-9-8-10-23-71)115(185)159-93(62-73-34-42-77(163)43-35-73)113(183)151-84(27-13-16-52-125)106(176)157-95(64-75-38-46-79(165)47-39-75)116(186)161-99(69(5)6)117(187)160-94(63-74-36-44-78(164)45-37-74)114(184)150-83(26-12-15-51-124)105(175)149-87(31-21-57-142-122(136)137)108(178)156-92(61-72-32-40-76(162)41-33-72)112(182)152-85(29-19-55-140-120(132)133)103(173)145-70(7)100(170)143-65-97(167)146-82(25-11-14-50-123)104(174)153-88(48-49-96(127)166)109(179)148-81(28-18-54-139-119(130)131)102(172)144-66-98(168)169/h8-10,22-23,32-47,67-70,80-95,99,162-165H,11-21,24-31,48-66,123-126H2,1-7H3,(H2,127,166)(H,143,170)(H,144,172)(H,145,173)(H,146,167)(H,147,171)(H,148,179)(H,149,175)(H,150,184)(H,151,183)(H,152,182)(H,153,174)(H,154,177)(H,155,180)(H,156,178)(H,157,176)(H,158,181)(H,159,185)(H,160,187)(H,161,186)(H,168,169)(H4,128,129,138)(H4,130,131,139)(H4,132,133,140)(H4,134,135,141)(H4,136,137,142)/t70-,80-,81-,82-,83-,84-,85-,86-,87-,88-,89-,90-,91-,92-,93-,94-,95-,99-/m0/s1
InChIKey KBXLLAUPNJALCJ-QDKIXALKSA-N
Market Analysis Reports
Related Products
L-Arginyl-L-ala...  L-Arginyl-6-Ami...  L-Arginyl-L-Arg...  L-Arginyl-L-arg...  L-Arginyl-L-Arg...  L-Arginyl-L-Arg...  L-Arginyl-L-arg...  L-Arginyl-L-arg...  L-Arginyl-L-arg...  L-Arginyl-L-Arg...  L-Arginyl-L-arg...  L-Arginyl-L-arg...  L-Arginyl-L-Arg...  L-Arginyl-L-arg...  L-Arginyl-L-Arg...  L-Arginyl-L-arg...  L-Arginyl-L-Asp...  L-Arginyl-L-asp...  L-Arginyl-L-asp...  L-Arginyl-L-alp...