Online Database of Chemicals from Around the World

Cyclothiazomycin
[CAS 133352-26-8]

Suppliers
CAS#: 133352-26-8
Product: Cyclothiazomycin
No suppilers available for the product.
Identification
Name Cyclothiazomycin
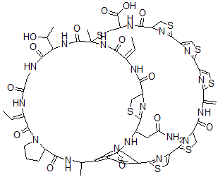
Molecular Structure CAS#: 133352-26-8, Cyclothiazomycin
Molecular Formula C59H64N18O14S7
Molecular Weight 1473.69
CAS Registry Number 133352-26-8
SMILES S7C%10(NC(=O)C(/NC(=O)C1N=C(SC1)C(NC(=O)C2=C(N=C(C=C2)C3=NC(=CS3)C4=NC(CS4)C(=O)NC(C5=NC(=CS5)C6=NC(=CS6)C8=NC(C(=O)NC(C7)C(O)=O)CS8)=C)C(NC(=O)C9N(CCC9)C(=O)C(NC(=O)CNC(=O)C(NC%10=O)C(O)C)=CC)C)CC(=O)N)=C\C)C
InChI 1S/C59H64N18O14S7/c1-7-27-47(85)76-59(6)58(91)75-42(25(5)78)49(87)61-15-40(80)64-28(8-2)56(88)77-13-9-10-38(77)48(86)62-23(3)41-26(43(81)67-30(14-39(60)79)52-69-32(17-93-52)45(83)66-27)11-12-29(65-41)51-73-35(20-96-51)53-70-31(16-94-53)44(82)63-24(4)50-72-34(19-92-50)55-74-36(21-97-55)54-71-33(18-95-54)46(84)68-37(22-98-59)57(89)90/h7-8,11-12,19-21,23,25,30-33,37-38,42,78H,4,9-10,13-18,22H2,1-3,5-6H3,(H2,60,79)(H,61,87)(H,62,86)(H,63,82)(H,64,80)(H,66,83)(H,67,81)(H,68,84)(H,75,91)(H,76,85)(H,89,90)/b27-7+,28-8?
InChIKey OGUUCNCVZHZWGA-AQPHYCSBSA-N
Market Analysis Reports
Related Products
Cyclotetracosan...  (1Z,8Z)-1,8-Cyc...  1,8-Cyclotetrad...  1,8-Cyclotetrad...  (1Z,3E,5Z,7E,9E...  Cyclotetradecan...  Cyclotetradecan...  (2E)-1-Cyclotet...  (3E)-Cyclotetra...  Cyclothiazide;6...  Cyclotriacontan...  1,7-Cyclotridec...  Cyclotridecane;...  Cyclotridecanon...  (2E)-2-Cyclotri...  Cyclotriphospha...  Cyclotropium;[(...  Cyclo(L-tryptop...  Cyclo(Tyr-Ile-G...  Cyclo(Tyrosylar...