Online Database of Chemicals from Around the World

3-Acetamidopropyl 2-Methylprop-2-Enoate
[CAS 133651-68-0]

Suppliers
Achemica Switzerland
+41 (24) 466-2929
contact@achemica.com
Chemical manufacturer since 2010
Atomax Chemicals Co., Ltd. China
+86 13417589054/
info@atomaxchem.com,atomax.chemicals@gmail.com
QQ Chat
Chemical manufacturer
Identification
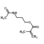
Name 3-Acetamidopropyl 2-Methylprop-2-Enoate
Synonyms 3-acetamidopropyl methacrylate
Molecular Structure CAS#: 133651-68-0, 3-Acetamidopropyl 2-Methylprop-2-Enoate
Molecular Formula C9H15NO3
Molecular Weight 185.22
CAS Registry Number 133651-68-0
SMILES O=C(C)NCCCOC(=O)C(C)=C
InChI 1S/C9H15NO3/c1-7(2)9(12)13-6-4-5-10-8(3)11/h1,4-6H2,2-3H3,(H,10,11)
InChIKey VBFGSLUUXNMGAI-UHFFFAOYSA-N
Properties
Density 1.021g/cm3 (Cal.)
Boiling point 357.071°C at 760 mmHg (Cal.)
Flash point 169.751°C (Cal.)
Refractive index 1.449 (Cal.)
Market Analysis Reports
Related Products
3-Acetamidoprop...  (2S)-1-[(2S)-2-...  (2S)-N-[(2S)-2-...  (2S)-N-[(2S)-2-...  (2-Acetamido-2-...  4-{3-[(3-Acetam...  N-(3-Acetamidop...  4-{4-[(3-Acetam...  N-[3-[4-(3-Acet...  N-(3-Acetamidop...  5-Acetamido-N-P...  Acetamidopropyl...  Acetamidopropyl...  (2R)-2-Acetamid...  3-Acetamido-2-P...  2-Acetamidopyra...  4-Acetamidopyri...  2-Acetamidopyri...  3-Acetamidopyri...  6-Acetamidopyri...