Online Database of Chemicals from Around the World

[1-[[(2S)-2-[(2R)-4,5-Dihydroxy-3-Oxofuran-2-Yl]-2-Hydroxyethoxy]-Hydroxyphosphoryl]Oxy-3-Tetradecanoyloxypropan-2-Yl] Tetradecanoate
[CAS 133849-98-6]

Suppliers
CAS#: 133849-98-6
Product: [1-[[(2S)-2-[(2R)-4,5-Dihydroxy-3-Oxofuran-2-Yl]-2-Hydroxyethoxy]-Hydroxyphosphoryl]Oxy-3-Tetradecanoyloxypropan-2-Yl] Tetradecanoate
No suppilers available for the product.
Identification
Name [1-[[(2S)-2-[(2R)-4,5-Dihydroxy-3-Oxofuran-2-Yl]-2-Hydroxyethoxy]-Hydroxyphosphoryl]Oxy-3-Tetradecanoyloxypropan-2-Yl] Tetradecanoate
Synonyms [1-[[[(2S)-2-[(2R)-4,5-Dihydroxy-3-Oxo-2-Furyl]-2-Hydroxy-Ethoxy]-Hydroxy-Phosphoryl]Oxymethyl]-2-Tetradecanoyloxy-Ethyl] Tetradecanoate; Tetradecanoic Acid [1-[[[(2S)-2-[(2R)-4,5-Dihydroxy-3-Oxo-2-Furyl]-2-Hydroxyethoxy]-Hydroxyphosphoryl]Oxymethyl]-2-(1-Oxotetradecoxy)Ethyl] Ester; Myristic Acid [1-[[[(2S)-2-[(2R)-4,5-Dihydroxy-3-Keto-2-Furyl]-2-Hydroxy-Ethoxy]-Hydroxy-Phosphoryl]Oxymethyl]-2-Tetradecanoyloxy-Ethyl] Ester
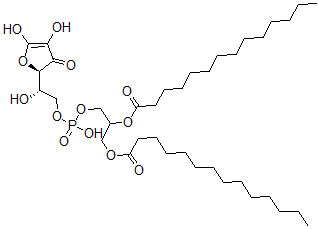
Molecular Structure CAS#: 133849-98-6, [1-[[(2S)-2-[(2R)-4,5-Dihydroxy-3-Oxofuran-2-Yl]-2-Hydroxyethoxy]-Hydroxyphosphoryl]Oxy-3-Tetradecanoyloxypropan-2-Yl] Tetradecanoate
Molecular Formula C37H67O13P
Molecular Weight 750.90
CAS Registry Number 133849-98-6
SMILES [C@@H](O)([C@H]1OC(=C(O)C1=O)O)CO[P](OCC(OC(=O)CCCCCCCCCCCCC)COC(=O)CCCCCCCCCCCCC)(O)=O
InChI 1S/C37H67O13P/c1-3-5-7-9-11-13-15-17-19-21-23-25-32(39)46-27-30(49-33(40)26-24-22-20-18-16-14-12-10-8-6-4-2)28-47-51(44,45)48-29-31(38)36-34(41)35(42)37(43)50-36/h30-31,36,38,42-43H,3-29H2,1-2H3,(H,44,45)/t30?,31-,36+/m0/s1
InChIKey ATIGLZGVTFBSFR-YJEPDJOESA-N
Properties
Density 1.162g/cm3 (Cal.)
Boiling point 804.74°C at 760 mmHg (Cal.)
Flash point 440.491°C (Cal.)
Market Analysis Reports
Related Products
3-(5,8-Dihydrox...  (6,7-Dihydroxy-...  4-(5,7-Dihydrox...  3,6-Dihydroxy-5...  5-(1,2-Dihydrox...  (1R,3R,6S,7R,10...  2,3-Dihydroxy-5...  12,14-Dihydroxy...  {(2S)-2-[(2R)-3...  (1,1-Dihydroxy-...  [(2S)-2-[(2R)-4...  [2-(4,5-Dihydro...  4-{[2,4-Dihydro...  [(3S,5R,8R,9S,1...  (3E)-6,6-Dihydr...  (5S,6Z,8E,10E,1...  (4R,5R)-4,5-Dih...  (4R,5S)-4,5-Dih...  4,5-Dihydroxy-2...  6,7-Dihydroxy-1...