Online Database of Chemicals from Around the World

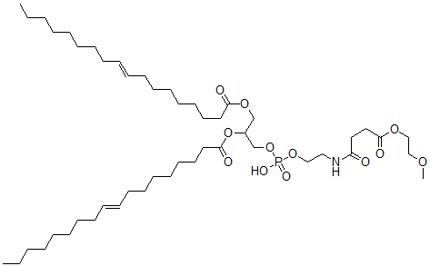
[1-[Hydroxy-[2-[[4-(2-Methoxyethoxy)-4-Oxobutanoyl]Amino]Ethoxy]Phosphoryl]Oxy-3-[(E)-Octadec-9-Enoyl]Oxypropan-2-Yl] (E)-Octadec-9-Enoate
[CAS 133906-05-5]

Suppliers
CAS#: 133906-05-5
Product: [1-[Hydroxy-[2-[[4-(2-Methoxyethoxy)-4-Oxobutanoyl]Amino]Ethoxy]Phosphoryl]Oxy-3-[(E)-Octadec-9-Enoyl]Oxypropan-2-Yl] (E)-Octadec-9-Enoate
No suppilers available for the product.
Identification
Name [1-[Hydroxy-[2-[[4-(2-Methoxyethoxy)-4-Oxobutanoyl]Amino]Ethoxy]Phosphoryl]Oxy-3-[(E)-Octadec-9-Enoyl]Oxypropan-2-Yl] (E)-Octadec-9-Enoate
Synonyms [1-[[Hydroxy-[2-[[4-(2-Methoxyethoxy)-4-Oxo-Butanoyl]Amino]Ethoxy]Phosphoryl]Oxymethyl]-2-[(E)-Octadec-9-Enoyl]Oxy-Ethyl] (E)-Octadec-9-Enoate; (E)-Octadec-9-Enoic Acid [1-[[Hydroxy-[2-[[4-(2-Methoxyethoxy)-1,4-Dioxobutyl]Amino]Ethoxy]Phosphoryl]Oxymethyl]-2-[(E)-1-Oxooctadec-9-Enoxy]Ethyl] Ester; (E)-Octadec-9-Enoic Acid [1-[[Hydroxy-[2-[[4-Keto-4-(2-Methoxyethoxy)Butanoyl]Amino]Ethoxy]Phosphoryl]Oxymethyl]-2-[(E)-Octadec-9-Enoyl]Oxy-Ethyl] Ester
Molecular Structure CAS#: 133906-05-5, [1-[Hydroxy-[2-[[4-(2-Methoxyethoxy)-4-Oxobutanoyl]Amino]Ethoxy]Phosphoryl]Oxy-3-[(E)-Octadec-9-Enoyl]Oxypropan-2-Yl] (E)-Octadec-9-Enoate
Molecular Formula C48H88NO12P
Molecular Weight 902.20
CAS Registry Number 133906-05-5
SMILES C(O[P](OCCNC(=O)CCC(OCCOC)=O)(=O)O)C(OC(=O)CCCCCCC\C=C\CCCCCCCC)COC(=O)CCCCCCC\C=C\CCCCCCCC
InChI 1S/C48H88NO12P/c1-4-6-8-10-12-14-16-18-20-22-24-26-28-30-32-34-46(51)58-42-44(43-60-62(54,55)59-39-38-49-45(50)36-37-47(52)57-41-40-56-3)61-48(53)35-33-31-29-27-25-23-21-19-17-15-13-11-9-7-5-2/h18-21,44H,4-17,22-43H2,1-3H3,(H,49,50)(H,54,55)/b20-18+,21-19+
InChIKey FAZMGEFNMFDAFQ-FRCMOREXSA-N
Properties
Density 1.042g/cm3 (Cal.)
Market Analysis Reports
Related Products
(S)-2-Hydroxy-3...  (S)-2-Hydroxy-3...  5-Hydroxy-6-met...  17-Hydroxy-3-Me...  (17beta)-17-Hyd...  17beta-Hydroxy-...  N-Hydroxy-2-met...  2-(Hydroxymetho...  4-Hydroxy-7-[[4...  2-[2-[2-(Hydrox...  1-Hydroxy-4-[[3...  1-Hydroxy-4-[(2...  1-Hydroxy-4-[2-...  4-Hydroxy-3-Met...  4-(2-Hydroxy-1-...  (2-Hydroxy-1-Me...  1-(1-Hydroxy-2-...  (2S)-2-Hydroxy-...  (2R)-2-Hydroxy-...  3-Hydroxy-1-(2-...