Online Database of Chemicals from Around the World

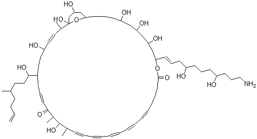
31-[(E)-11-Amino-4,8-Dihydroxyundec-1-Enyl]-1,5,14,33,35,37,43-Heptahydroxy-8-(1-Hydroxy-4-Methyloct-7-Enyl)-2,13,15-Trimethyl-30,45-Dioxabicyclo[39.3.1]Pentatetraconta-3,10,16,18,20,22,24-Heptaene-12,29-Dione
[CAS 134965-82-5]

Suppliers
CAS#: 134965-82-5
Product: 31-[(E)-11-Amino-4,8-Dihydroxyundec-1-Enyl]-1,5,14,33,35,37,43-Heptahydroxy-8-(1-Hydroxy-4-Methyloct-7-Enyl)-2,13,15-Trimethyl-30,45-Dioxabicyclo[39.3.1]Pentatetraconta-3,10,16,18,20,22,24-Heptaene-12,29-Dione
No suppilers available for the product.
Identification
Name 31-[(E)-11-Amino-4,8-Dihydroxyundec-1-Enyl]-1,5,14,33,35,37,43-Heptahydroxy-8-(1-Hydroxy-4-Methyloct-7-Enyl)-2,13,15-Trimethyl-30,45-Dioxabicyclo[39.3.1]Pentatetraconta-3,10,16,18,20,22,24-Heptaene-12,29-Dione
Synonyms 31-[(E)-11-Amino-4,8-Dihydroxy-Undec-1-Enyl]-1,5,14,33,35,37,43-Heptahydroxy-8-(1-Hydroxy-4-Methyl-Oct-7-Enyl)-2,13,15-Trimethyl-30,45-Dioxabicyclo[39.3.1]Pentatetraconta-3,10,16,18,20,22,24-Heptaene-12,29-Dione; 31-[(E)-11-Amino-4,8-Dihydroxy-Undec-1-Enyl]-1,5,14,33,35,37,43-Heptahydroxy-8-(1-Hydroxy-4-Methyl-Oct-7-Enyl)-2,13,15-Trimethyl-30,45-Dioxabicyclo[39.3.1]Pentatetraconta-3,10,16,18,20,22,24-Heptaene-12,29-Quinone; 12,45-Dioxabicyclo(39.3.1)Pentatetraconta-17,19,21,23,25,31,38-Heptaene-13,30-Dione, 11-(11-Amino-4,8-Dihydroxy-1-Undecenyl)-5,7,9,28,37,41,43-Heptahydroxy-34-(1-Hydroxy-4-Methyl-7-Octenyl)-27,29,40-Trimethyl-
Molecular Structure CAS#: 134965-82-5, 31-[(E)-11-Amino-4,8-Dihydroxyundec-1-Enyl]-1,5,14,33,35,37,43-Heptahydroxy-8-(1-Hydroxy-4-Methyloct-7-Enyl)-2,13,15-Trimethyl-30,45-Dioxabicyclo[39.3.1]Pentatetraconta-3,10,16,18,20,22,24-Heptaene-12,29-Dione
Molecular Formula C66H109NO14
Molecular Weight 1140.59
CAS Registry Number 134965-82-5
SMILES C(C(O)C2CCC(O)\C=C/C(C1(OC(CC(O)C1)CCCC(O)CC(O)CC(O)CC(OC(=O)CCC\C=C/C=C\C=C/C=C\C=C/C(C(O)C(C(=O)\C=C/C2)C)C)\C=C\CC(O)CCCC(O)CCCN)O)C)CC(CCC=C)C
InChI 1S/C66H109NO14/c1-6-7-24-48(2)36-41-63(76)52-26-19-34-62(75)51(5)65(78)49(3)25-17-15-13-11-9-8-10-12-14-16-18-35-64(77)80-60(32-21-29-53(68)27-20-28-54(69)31-23-42-67)45-58(73)44-57(72)43-56(71)30-22-33-61-46-59(74)47-66(79,81-61)50(4)37-39-55(70)40-38-52/h6,8-15,17,19,21,25,32,34,37,39,48-61,63,65,68-74,76,78-79H,1,7,16,18,20,22-24,26-31,33,35-36,38,40-47,67H2,2-5H3/b10-8-,11-9-,14-12-,15-13-,25-17-,32-21+,34-19-,39-37-
InChIKey RBPHPIMLPIJVSD-VRWPSARBSA-N
Properties
Density 1.084g/cm3 (Cal.)
Boiling point 1186.385°C at 760 mmHg (Cal.)
Flash point 671.301°C (Cal.)
Market Analysis Reports
Related Products
6-Amino-2,3-Dih...  2-Amino-5,6-dih...  (+/-)-2-Amino-6...  (3S,4S,5S)-3-Am...  (3R,4S,5S)-3-Am...  3-Amino-4,5-dih...  5-amino-3',6'-d...  2-Amino-5,6-Dih...  2-Amino-4,6-dih...  (2R,4R,5R,6R)-5...  3-Amino-1,5-Dii...  4-Amino-2,6-Dii...  4-Amino-3,5-dii...  2-Amino-3,5-Dii...  3-Amino-3-(3,5-...  4-Amino-3,5-Dii...  4-[(5-Amino-2,4...  4-[(5-Amino-2,4...  5-[(5-Amino-2,4...  5-Amino-4,6-dii...