Online Database of Chemicals from Around the World

[(2S,3R,4R,5R,6R)-5-[(2R,3R,4S,5S,6R)-6-(Decanoyloxymethyl)-3,4,5-Trihydroxyoxan-2-Yl]Oxy-3-Hexadecanoyloxy-3,4-Dihydroxy-6-(Hydroxymethyl)-2-Propoxyoxan-4-Yl] Hexadecanoate
[CAS 140899-18-9]

Suppliers
CAS#: 140899-18-9
Product: [(2S,3R,4R,5R,6R)-5-[(2R,3R,4S,5S,6R)-6-(Decanoyloxymethyl)-3,4,5-Trihydroxyoxan-2-Yl]Oxy-3-Hexadecanoyloxy-3,4-Dihydroxy-6-(Hydroxymethyl)-2-Propoxyoxan-4-Yl] Hexadecanoate
No suppilers available for the product.
Identification
Name [(2S,3R,4R,5R,6R)-5-[(2R,3R,4S,5S,6R)-6-(Decanoyloxymethyl)-3,4,5-Trihydroxyoxan-2-Yl]Oxy-3-Hexadecanoyloxy-3,4-Dihydroxy-6-(Hydroxymethyl)-2-Propoxyoxan-4-Yl] Hexadecanoate
Synonyms [(2S,3R,4R,5R,6R)-5-[(2R,3R,4S,5S,6R)-6-(Decanoyloxymethyl)-3,4,5-Trihydroxy-Tetrahydropyran-2-Yl]Oxy-3-Hexadecanoyloxy-3,4-Dihydroxy-6-(Hydroxymethyl)-2-Propoxy-Tetrahydropyran-4-Yl] Hexadecanoate; Hexadecanoic Acid [(2S,3R,4R,5R,6R)-3,4-Dihydroxy-6-(Hydroxymethyl)-3-(1-Oxohexadecoxy)-2-Propoxy-5-[[(2R,3R,4S,5S,6R)-3,4,5-Trihydroxy-6-(1-Oxodecoxymethyl)-2-Tetrahydropyranyl]Oxy]-4-Tetrahydropyranyl] Ester; Palmitic Acid [(2S,3R,4R,5R,6R)-5-[(2R,3R,4S,5S,6R)-6-(Capryloxymethyl)-3,4,5-Trihydroxy-Tetrahydropyran-2-Yl]Oxy-3-Hexadecanoyloxy-3,4-Dihydroxy-6-Methylol-2-Propoxy-Tetrahydropyran-4-Yl] Ester
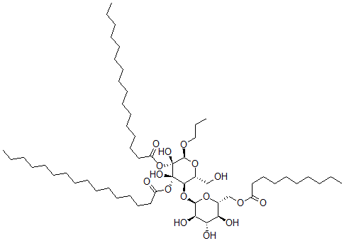
Molecular Structure CAS#: 140899-18-9, [(2S,3R,4R,5R,6R)-5-[(2R,3R,4S,5S,6R)-6-(Decanoyloxymethyl)-3,4,5-Trihydroxyoxan-2-Yl]Oxy-3-Hexadecanoyloxy-3,4-Dihydroxy-6-(Hydroxymethyl)-2-Propoxyoxan-4-Yl] Hexadecanoate
Molecular Formula C57H106O16
Molecular Weight 1047.45
CAS Registry Number 140899-18-9
SMILES [C@]1(OC(=O)CCCCCCCCCCCCCCC)(O)[C@@](OC(=O)CCCCCCCCCCCCCCC)(O)[C@H](O[C@@H]([C@H]1O[C@H]2O[C@@H]([C@@H](O)[C@H](O)[C@H]2O)COC(=O)CCCCCCCCC)CO)OCCC
InChI 1S/C57H106O16/c1-5-9-12-15-18-20-22-24-26-28-31-34-37-40-48(60)72-56(65)53(71-54-52(64)51(63)50(62)46(69-54)44-68-47(59)39-36-33-30-17-14-11-7-3)45(43-58)70-55(67-42-8-4)57(56,66)73-49(61)41-38-35-32-29-27-25-23-21-19-16-13-10-6-2/h45-46,50-55,58,62-66H,5-44H2,1-4H3/t45-,46-,50-,51+,52-,53-,54-,55+,56-,57-/m1/s1
InChIKey QHBIQIGMMLORPZ-BASKQFRRSA-N
Properties
Density 1.122g/cm3 (Cal.)
Boiling point 962.967°C at 760 mmHg (Cal.)
Flash point 248.194°C (Cal.)
Market Analysis Reports
Related Products
Decanoyl Fluori...  N2-Decanoyl-L-g...  N-Decanoyl-N-(2...  4-Decanoyl-5-Hy...  N2-D...  N-Decanoylmorph...  Decanoyl/octano...  (2-Decanoyloxy-...  (1-Decanoyloxy-...  (4S,4aR,5S,8R,8...  [(2R)-2-Decanoy...  [(2R)-2-Decanoy...  (R)-3-(Decanoyl...  1-(1-Decanoylpy...  1-(1-Decanoylpy...  N-Decanoylsarco...  (3aR)-6a-[(4R)-...  2-Decanyl Propi...  Decaoleic Acid,...  3,6,9,12,15,18,...