Online Database of Chemicals from Around the World

Saponin QA 21V1
[CAS 141256-04-4]

List of Suppliers
BOC Sciences USA
www.bocsci.com
+1 (631) 485-4226
+1 (631) 614-7828
info@bocsci.com
Chemical manufacturer
chemBlink Standard supplier since 2010
Chengdu Biopurify Phytochemicals Ltd. China
www.phytopurify.com
+86 (28) 8263-3860
8263-3987
+86 (28) 8263-3165
sales@biopurify.com
biopurify@gmail.com
QQ Chat
Skype Chat
Chemical manufacturer
chemBlink Standard supplier since 2017

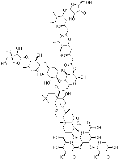
Identification
NameSaponin QA 21V1
SynonymsQA 21; QA 21V1; QS 21; QS-21-Api
Molecular StructureSaponin QA 21V1 molecular structure (CAS 141256-04-4)
Molecular FormulaC92H148O46
Molecular Weight1990.13
CAS Registry Number141256-04-4
EC Number814-254-2
Properties
SolubilityVery slightly soluble (0.2 g/L) (25 °C), Calc.*
Density1.52±0.1 g/cm3 (20 °C 760 Torr), Calc.*
*Calculated using Advanced Chemistry Development (ACD/Labs) Software V11.02 (©1994-2013 ACD/Labs)
Safety Data
Hazard Classification
up    Details
HazardClassCategory CodeHazard Statement
Eye irritationEye Irrit.2H319
Specific target organ toxicity - single exposureSTOT SE3H335
Reproductive toxicityRepr.2H361
Market Analysis Reports
Related Products
Sapacitabine  Saparal  Saperconazole  Saphenamycin  Sapintoxin A  Sapintoxin C  Sapitinib  Saponaria Offic...  Saponin  Saponin C, from...  Saponins  Saponins, Quill...  Saponite  Sappanchalcone  Sapriparaquinon...  Saprirearine  Sapropterin  Saquayamycin  Saquayamycin A1  Saquayamycin B1