Online Database of Chemicals from Around the World

Albomycin
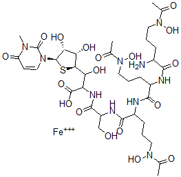
[CAS 1414-39-7]

Suppliers
CAS#: 1414-39-7
Product: Albomycin
No suppilers available for the product.
Identification
Classification API >> Antibiotics >> Macrolide drug
Name Albomycin
Synonyms Ferric 2-[[2-[[5-(Acetyl-Hydroxy-Amino)-2-[[5-(Acetyl-Hydroxy-Amino)-2-[[5-(Acetyl-Hydroxy-Amino)-2-Amino-Pentanoyl]Amino]Pentanoyl]Amino]Pentanoyl]Amino]-3-Hydroxy-Propanoyl]Amino]-3-[(2R,3S,4R,5R)-3,4-Dihydroxy-5-(3-Methyl-2,4-Dioxo-Pyrimidin-1-Yl)Tetrahydrothiophen-2-Yl]-3-Hydroxy-Propanoic Acid; Ferric 2-[[2-[[5-(Acetyl-Hydroxyamino)-2-[[5-(Acetyl-Hydroxyamino)-2-[[5-(Acetyl-Hydroxyamino)-2-Amino-1-Oxopentyl]Amino]-1-Oxopentyl]Amino]-1-Oxopentyl]Amino]-3-Hydroxy-1-Oxopropyl]Amino]-3-[(2R,3S,4R,5R)-3,4-Dihydroxy-5-(3-Methyl-2,4-Dioxo-1-Pyrimidinyl)-2-Tetrahydrothiophenyl]-3-Hydroxypropanoic Acid; Ferric 2-[[2-[[5-(Acetyl-Hydroxy-Amino)-2-[[5-(Acetyl-Hydroxy-Amino)-2-[[5-(Acetyl-Hydroxy-Amino)-2-Amino-Pentanoyl]Amino]Pentanoyl]Amino]Pentanoyl]Amino]-3-Hydroxy-Propanoyl]Amino]-3-[(2R,3S,4R,5R)-5-(2,4-Diketo-3-Methyl-Pyrimidin-1-Yl)-3,4-Dihydroxy-Tetrahydrothiophen-2-Yl]-3-Hydroxy-Propionic Acid
Molecular Structure CAS#: 1414-39-7, Albomycin
Molecular Formula C36H58FeN10O18S
Molecular Weight 1006.82
CAS Registry Number 1414-39-7
SMILES [C@H]1(S[C@@H]([C@@H](O)[C@H]1O)C(O)C(NC(=O)C(NC(=O)C(NC(=O)C(NC(=O)C(N)CCCN(O)C(=O)C)CCCN(O)C(=O)C)CCCN(O)C(=O)C)CO)C(=O)O)N2C(=O)N(C(=O)C=C2)C.[Fe+3]
InChI 1S/C36H58N10O18S.Fe/c1-17(48)44(62)12-5-8-20(37)30(55)38-21(9-6-13-45(63)18(2)49)31(56)39-22(10-7-14-46(64)19(3)50)32(57)40-23(16-47)33(58)41-25(35(59)60)26(52)29-27(53)28(54)34(65-29)43-15-11-24(51)42(4)36(43)61;/h11,15,20-23,25-29,34,47,52-54,62-64H,5-10,12-14,16,37H2,1-4H3,(H,38,55)(H,39,56)(H,40,57)(H,41,58)(H,59,60);/q;+3/t20?,21?,22?,23?,25?,26?,27-,28+,29+,34+;/m0./s1
InChIKey NDZHMVWHFMFIEG-ZYBDUZOASA-N
Market Analysis Reports
Related Products
Albiglutide;Nal...  Albireodelphin ...  Albizia anthelm...  D-Albizziin  Albizziin;L-(-)...  Alboctalol  Albocycline;Aco...  Albomaculine;Al...  Albomitomycin C  Albomycetin;Ama...  Alborite Pf  Alborixin;(2R)-...  Albothricin;[5-...  Albumin  Albumin-binding...  Albumin Blue 58...  Albumins, Blood...  Albumins, Blood...  Albumins human;...  rac Albuterol-d...