Online Database of Chemicals from Around the World

Ardicrenin
[CAS 143016-77-7]

Suppliers
CAS#: 143016-77-7
Product: Ardicrenin
No suppilers available for the product.
Identification
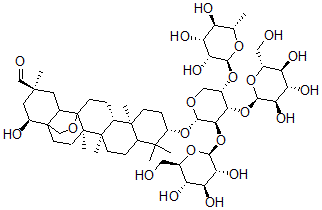
Name Ardicrenin
Synonyms Cyclamiretin A-3-O-(Alpha-L-Rhamnopyranosyl-(1-4)-Beta-D-Glucopyranosyl-(1-4))(Beta-D-Glucopyranosyl-(1-2))-Alpha-L-Arabinopyranoside; Oleanan-29-Al, 3-((O-6-Deoxy-Alpha-L-Mannopyranosyl-(1-4)-O-Beta-D-Glucopyranosyl-(1-4)-O-(Beta-D-Glucopyranosyl-(1-2))-Alpha-L-Arabinopyranosyl)Oxy)-13,28-Epoxy-22-Hydroxy-, (3Beta,20Beta,22Alpha)-
Molecular Structure CAS#: 143016-77-7, Ardicrenin
Molecular Formula C53H86O22
Molecular Weight 1075.25
CAS Registry Number 143016-77-7
SMILES [C@@]34(C1(OCC2(C1C[C@@](C[C@@H]2O)(C=O)C)CC3)CC[C@H]5[C@]4(CCC%10[C@@]5(CC[C@H](O[C@@H]8OC[C@H](O[C@@H]6O[C@H]([C@H](O)[C@@H](O)[C@H]6O)C)[C@H](O[C@H]7O[C@@H]([C@@H](O)[C@H](O)[C@H]7O)CO)[C@H]8O[C@@H]9O[C@@H]([C@@H](O)[C@H](O)[C@H]9O)CO)C%10(C)C)C)C)C
InChI 1S/C53H86O22/c1-23-32(58)35(61)38(64)43(69-23)72-26-20-67-46(42(75-45-40(66)37(63)34(60)25(19-55)71-45)41(26)74-44-39(65)36(62)33(59)24(18-54)70-44)73-31-10-11-49(5)27(47(31,2)3)8-12-50(6)28(49)9-13-53-29-16-48(4,21-56)17-30(57)52(29,22-68-53)15-14-51(50,53)7/h21,23-46,54-55,57-66H,8-20,22H2,1-7H3/t23-,24+,25+,26-,27?,28+,29?,30-,31-,32-,33+,34+,35+,36-,37-,38+,39+,40+,41-,42+,43-,44+,45-,46-,48-,49-,50+,51-,52?,53?/m0/s1
InChIKey AWHOLZVUVDYTBG-AZDDWXAASA-N
Properties
Density 1.468g/cm3 (Cal.)
Market Analysis Reports
Related Products
Arclofenin;N-[2...  (-)-Arctigenin;...  Arctigenin 4'-b...  Arctiin;(3R,4R)...  Arctinol B  Arctiopicrin;[(...  Arctium lappa, ...  Arctium Majus, ...  Arctium Minus, ...  Arctostaphylos ...  Ardisiacrispin ...  Ardisianone A;2...  Ardisianone B;2...  Ardisiaquinone ...  Ardisiphenol A  Arecaidine Ethy...  Arecaidine Hydr...  Arecaidine hydr...  Arecaidine Prop...  Arecaine;1,2,5,...