Online Database of Chemicals from Around the World

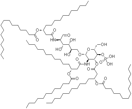
2-Deoxy-6-O-[2-deoxy-2-[[(3R)-1-oxo-3-[(1-oxododecyl)oxy]tetradecyl]amino]-3-O-[(3R)-1-oxo-3-[(1-oxotetradecyl)oxy]tetradecyl]-4-O-phosphono-beta-D-glucopyranosyl]-2-[[(3R)-1-oxo-3-[(1-oxohexadecyl)oxy]tetradecyl]amino]-D-glucose
[CAS 143110-73-0]

List of Suppliers
Shanghai Neosun Pharmaceutical Technology Co., Ltd. China
www.neosunpharm.com
+86 (21) 2095-6531
+86 18116226605
+86 18939712385
+86 (21) 2095-6532
neosunpharm@163.com
QQ Chat
Chemical manufacturer since 2014
chemBlink Standard supplier since 2014

Identification
Name2-Deoxy-6-O-[2-deoxy-2-[[(3R)-1-oxo-3-[(1-oxododecyl)oxy]tetradecyl]amino]-3-O-[(3R)-1-oxo-3-[(1-oxotetradecyl)oxy]tetradecyl]-4-O-phosphono-beta-D-glucopyranosyl]-2-[[(3R)-1-oxo-3-[(1-oxohexadecyl)oxy]tetradecyl]amino]-D-glucose
Molecular Structure2-Deoxy-6-O-[2-deoxy-2-[[(3R)-1-oxo-3-[(1-oxododecyl)oxy]tetradecyl]amino]-3-O-[(3R)-1-oxo-3-[(1-oxotetradecyl)oxy]tetradecyl]-4-O-phosphono-beta-D-glucopyranosyl]-2-[[(3R)-1-oxo-3-[(1-oxohexadecyl)oxy]tetradecyl]amino]-D-glucose molecular structure (CAS 143110-73-0)
Molecular FormulaC96H181N2O21P
Molecular Weight1730.44
CAS Registry Number143110-73-0
Properties
SolubilityInsoluble (2.2E-6 g/L) (25 °C), Calc.*
Density1.08±0.1 g/cm3 (20 °C 760 Torr), Calc.*
*Calculated using Advanced Chemistry Development (ACD/Labs) Software V11.02 (©1994-2017 ACD/Labs)
Market Analysis Reports
Related Products
4'-Deoxydaunomy...  11-Deoxydaunomy...  7-Deoxy Daunoru...  2'-Deoxy-7-deaz...  2'-Deoxy-7-deaz...  rac-11-Deoxy-8(...  2-deoxy-4-O-(4-...  2,2'-(4-{[5-Deo...  (2beta,15alpha)...  1-((3-beta,20-b...  2-Deoxy-6-O-[2-...  5'-Deoxy-3'-O-(...  5'-Deoxy-2'-O-(...  5'-Deoxy-3'-O-(...  2-deoxy-4-O-(4-...  2-deoxy-4-O-(4-...  2-Deoxy-4-O-(4-...  2-Deoxy-4-O-(4-...  N-​(1-Deoxy-​D-...  2'-Deoxy-3',5'-...