Online Database of Chemicals from Around the World

[2-[(2S)-2-Amino-3-[4-[Bis(2-Chloroethyl)Amino]Phenyl]Propanoyl]Oxy-3-Hexadecanoyloxypropyl] Hexadecanoate
[CAS 144558-52-1]

Suppliers
CAS#: 144558-52-1
Product: [2-[(2S)-2-Amino-3-[4-[Bis(2-Chloroethyl)Amino]Phenyl]Propanoyl]Oxy-3-Hexadecanoyloxypropyl] Hexadecanoate
No suppilers available for the product.
Identification
Name [2-[(2S)-2-Amino-3-[4-[Bis(2-Chloroethyl)Amino]Phenyl]Propanoyl]Oxy-3-Hexadecanoyloxypropyl] Hexadecanoate
Synonyms [2-[(2S)-2-Amino-3-[4-[Bis(2-Chloroethyl)Amino]Phenyl]Propanoyl]Oxy-3-Hexadecanoyloxy-Propyl] Hexadecanoate; Hexadecanoic Acid [2-[(2S)-2-Amino-3-[4-[Bis(2-Chloroethyl)Amino]Phenyl]-1-Oxopropoxy]-3-(1-Oxohexadecoxy)Propyl] Ester; Palmitic Acid [2-[(2S)-2-Amino-3-[4-[Bis(2-Chloroethyl)Amino]Phenyl]Propanoyl]Oxy-3-Hexadecanoyloxy-Propyl] Ester
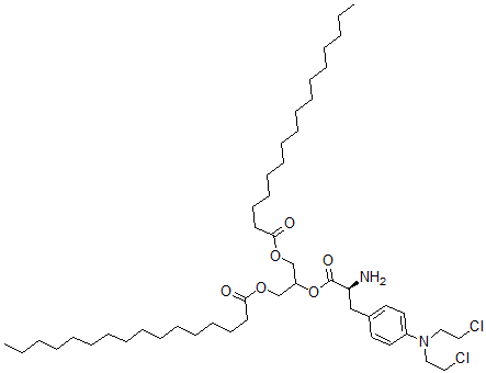
Molecular Structure CAS#: 144558-52-1, [2-[(2S)-2-Amino-3-[4-[Bis(2-Chloroethyl)Amino]Phenyl]Propanoyl]Oxy-3-Hexadecanoyloxypropyl] Hexadecanoate
Molecular Formula C48H84Cl2N2O6
Molecular Weight 856.11
CAS Registry Number 144558-52-1
SMILES [C@H](C(=O)OC(COC(CCCCCCCCCCCCCCC)=O)COC(CCCCCCCCCCCCCCC)=O)(N)CC1=CC=C(C=C1)N(CCCl)CCCl
InChI 1S/C48H84Cl2N2O6/c1-3-5-7-9-11-13-15-17-19-21-23-25-27-29-46(53)56-40-44(41-57-47(54)30-28-26-24-22-20-18-16-14-12-10-8-6-4-2)58-48(55)45(51)39-42-31-33-43(34-32-42)52(37-35-49)38-36-50/h31-34,44-45H,3-30,35-41,51H2,1-2H3/t45-/m0/s1
InChIKey NBKIVYGYYZKPLC-GWHBCOKCSA-N
Properties
Density 1.038g/cm3 (Cal.)
Boiling point 813.705°C at 760 mmHg (Cal.)
Flash point 445.913°C (Cal.)
Market Analysis Reports
Related Products
1-Amino-4-[[3,5...  4-Amino-1-[3,5-...  beta-Amino-4-[B...  2-Amino-7-[Bis(...  (2S)-2-Amino-3-...  2-Amino-3-[4-[4...  2-Amino-5-[[4-[...  2-Amino-3-[5-[B...  2-Amino-4-[4-[B...  2-Amino-3-[3-[B...  (2S)-2-[[(2S)-2...  3-[Amino-[Bis(2...  3-[Amino-[Bis(2...  Amino 5-[Bis(2-...  Amino 6-[Bis(2-...  4-Amino-3,6-Bis...  4-Amino-3,6-Bis...  4-Amino-3,6-Bis...  4-Amino-3,6-Bis...  8-Amino-1,3-Bis...