| ChemBridge Corporation | USA | |||
|---|---|---|---|---|
![]() |
+1 (858) 451-7400 | |||
![]() |
sales@chembridge.com | |||
| Chemical manufacturer | ||||
| ChemDiv, Inc. | USA | |||
|---|---|---|---|---|
![]() |
+1 (858) 794-4860 | |||
![]() |
chemdiv@chemdiv.com | |||
| Chemical manufacturer | ||||
| Princeton BioMolecular Research, Inc. | USA | |||
|---|---|---|---|---|
![]() |
+1 (732) 355-9920 | |||
![]() |
info@princetonbio.com | |||
| Chemical manufacturer since 1998 | ||||
| SelectLab Chemicals GmbH | Germany | |||
|---|---|---|---|---|
![]() |
+49 (2383) 919-350 / 919-351 | |||
![]() |
info@selectlab.de, | |||
| Chemical manufacturer | ||||
| Trylead Chemical Technology Co., Ltd. | China | |||
|---|---|---|---|---|
![]() |
+86 (571) 8708-6220 | |||
![]() |
info@trylead-chem.com | |||
| Chemical manufacturer since 2006 | ||||
| Vitas-M | Russian Federation | |||
|---|---|---|---|---|
![]() |
+7 (906) 781-2021 | |||
![]() |
vitas@vitasmlab.com | |||
| Chemical manufacturer since 1998 | ||||
| ZereneX Molecular Ltd. | UK | |||
|---|---|---|---|---|
![]() |
+44 (1204) 527-700 | |||
![]() |
sales@zerenex-molecular.com | |||
| Chemical manufacturer | ||||
| Zylexa Pharma Ltd. | UK | |||
|---|---|---|---|---|
![]() |
+44 (845) 299-6009/ | |||
![]() |
sales@zylexa-pharma.com,enquiries@zylexa-pharma.com | |||
| Chemical manufacturer | ||||
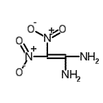
| Name | 2,2-Dinitro-1,1-Ethenediamine |
|---|---|
| Synonyms | 1,1-Diamino-2,2-dinitroethylene; 2,2-Dinitro-1,1-ethylenediamine #; FOX 7 |
| Molecular Structure | ![]() |
| Molecular Formula | C2H4N4O4 |
| Molecular Weight | 148.08 |
| CAS Registry Number | 145250-81-3 |
| SMILES | C(=C([N+](=O)[O-])[N+](=O)[O-])(N)N |
| InChI | 1S/C2H4N4O4/c3-1(4)2(5(7)8)6(9)10/h3-4H2 |
| InChIKey | FUHQFAMVYDIUKL-UHFFFAOYSA-N |
| Density | 1.689g/cm3 (Cal.) |
|---|---|
| Boiling point | 194.6°C at 760 mmHg (Cal.) |
| Flash point | 71.492°C (Cal.) |
| Refractive index | 1.604 (Cal.) |
| (1) | DeCarlos E. Taylor, Fazle Rob, Betsy M. Rice, Rafal Podeszwa and Krzysztof Szalewicz. A molecular dynamics study of 1,1-diamino-2,2-dinitroethylene (FOX-7) crystal using a symmetry adapted perturbation theory-based intermolecular force field, Phys. Chem. Chem. Phys., 2011, 13, 16629. |
|---|---|
| Market Analysis Reports |