Online Database of Chemicals from Around the World

10-(4-Dimethylamino-3-Hydroxy-6-Methyloxan-2-Yl)Oxy-2-Ethyl-3,9-Dihydroxy-12-(5-Hydroxy-4-Methoxy-4,6-Dimethyloxan-2-Yl)Oxy-3,7,9,11,13-Pentamethyl-1-Oxa-5-Azacyclotetradecan-14-One
[CAS 146763-21-5]

Suppliers
CAS#: 146763-21-5
Product: 10-(4-Dimethylamino-3-Hydroxy-6-Methyloxan-2-Yl)Oxy-2-Ethyl-3,9-Dihydroxy-12-(5-Hydroxy-4-Methoxy-4,6-Dimethyloxan-2-Yl)Oxy-3,7,9,11,13-Pentamethyl-1-Oxa-5-Azacyclotetradecan-14-One
No suppilers available for the product.
Identification
Name 10-(4-Dimethylamino-3-Hydroxy-6-Methyloxan-2-Yl)Oxy-2-Ethyl-3,9-Dihydroxy-12-(5-Hydroxy-4-Methoxy-4,6-Dimethyloxan-2-Yl)Oxy-3,7,9,11,13-Pentamethyl-1-Oxa-5-Azacyclotetradecan-14-One
Synonyms 10-(4-Dimethylamino-3-Hydroxy-6-Methyl-Tetrahydropyran-2-Yl)Oxy-2-Ethyl-3,9-Dihydroxy-12-(5-Hydroxy-4-Methoxy-4,6-Dimethyl-Tetrahydropyran-2-Yl)Oxy-3,7,9,11,13-Pentamethyl-1-Oxa-5-Azacyclotetradecan-14-One; 10-[(4-Dimethylamino-3-Hydroxy-6-Methyl-2-Tetrahydropyranyl)Oxy]-2-Ethyl-3,9-Dihydroxy-12-[(5-Hydroxy-4-Methoxy-4,6-Dimethyl-2-Tetrahydropyranyl)Oxy]-3,7,9,11,13-Pentamethyl-1-Oxa-5-Azacyclotetradecan-14-One; 10-(4-Dimethylamino-3-Hydroxy-6-Methyl-Oxan-2-Yl)Oxy-2-Ethyl-3,9-Dihydroxy-12-(5-Hydroxy-4-Methoxy-4,6-Dimethyl-Oxan-2-Yl)Oxy-3,7,9,11,13-Pentamethyl-1-Oxa-5-Azacyclotetradecan-14-One
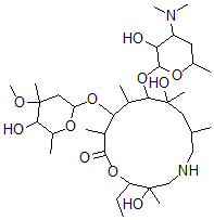
Molecular Structure CAS#: 146763-21-5, 10-(4-Dimethylamino-3-Hydroxy-6-Methyloxan-2-Yl)Oxy-2-Ethyl-3,9-Dihydroxy-12-(5-Hydroxy-4-Methoxy-4,6-Dimethyloxan-2-Yl)Oxy-3,7,9,11,13-Pentamethyl-1-Oxa-5-Azacyclotetradecan-14-One
Molecular Formula C35H66N2O11
Molecular Weight 690.91
CAS Registry Number 146763-21-5
SMILES C(C3OC(=O)C(C(OC1OC(C(O)C(OC)(C1)C)C)C(C(OC2OC(CC(N(C)C)C2O)C)C(O)(CC(CNCC3(O)C)C)C)C)C)C
InChI 1S/C35H66N2O11/c1-13-25-34(8,42)18-36-17-19(2)15-33(7,41)30(48-32-27(38)24(37(10)11)14-20(3)44-32)21(4)28(22(5)31(40)46-25)47-26-16-35(9,43-12)29(39)23(6)45-26/h19-30,32,36,38-39,41-42H,13-18H2,1-12H3
InChIKey ZTAQKCQVXVRTAZ-UHFFFAOYSA-N
Properties
Density 1.176g/cm3 (Cal.)
Boiling point 790.893°C at 760 mmHg (Cal.)
Flash point 432.117°C (Cal.)
Market Analysis Reports
Related Products
2-(Dimethylamin...  2-[(Dimethylami...  3-Dimethylamino...  4-[(Dimethylami...  (9R,10R)-7-[(2R...  10-[4-Dimethyla...  4-Dimethylamino...  [4-Dimethylamin...  (2R,3R,4S,5S,6R...  6-(4-Dimethylam...  (3E,5S,6S,7S,9R...  2-[(14E)-9-(4-D...  (3E,11E,13Z)-6-...  2-[(5S,6R,7R,9R...  (2R,3S,7R,9S,10...  10-(4-Dimethyla...  7-(4-Dimethylam...  7-[(2R,4S,5S,6S...  10-[(2S,4S,5S,6...  7-(4-Dimethylam...